Indian domain

This is the hyperlink network of the .in domain for India.

Metadata

CodeID
Internal namedimacs10-in-2004
NameIndian domain
Data sourcehttps://www.cc.gatech.edu/dimacs10/archive/clustering.shtml
AvailabilityDataset is available for download
Consistency checkDataset passed all tests
Category
Hyperlink network
Dataset timestamp 2004
Node meaningPage
Edge meaningHyperlink
Network formatUnipartite, undirected
Edge typeUnweighted, no multiple edges
LoopsDoes not contain loops
Snapshot Is a snapshot and likely to not contain all data
Orientation Is not directed, but the underlying data is
Multiplicity Does not have multiple edges, but the underlying data has

Statistics

Size n =1,382,867
Volume m =13,591,473
Loop count l =0
Wedge count s =15,107,074,689
Claw count z =35,888,446,913,293
Cross count x =93,346,585,743,242,848
Triangle count t =464,257,245
Square count q =388,475,812,235
4-Tour count T4 =3,168,261,979,582
Maximum degree dmax =21,869
Average degree d =19.656 9
Fill p =1.421 46 × 10−5
Size of LCC N =1,353,703
Diameter δ =43
50-Percentile effective diameter δ0.5 =8.173 98
90-Percentile effective diameter δ0.9 =11.480 3
Median distance δM =9
Mean distance δm =8.839 06
Gini coefficient G =0.748 677
Balanced inequality ratio P =0.212 399
Relative edge distribution entropy Her =0.874 516
Power law exponent γ =1.555 87
Tail power law exponent γt =2.311 00
Tail power law exponent with p γ3 =2.311 00
p-value p =0.000 00
Degree assortativity ρ =−0.155 349
Degree assortativity p-value pρ =0.000 00
Clustering coefficient c =0.092 193 3
Spectral norm α =1,020.02
Algebraic connectivity a =3.154 60 × 10−5
Non-bipartivity bA =0.362 953
Normalized non-bipartivity bN =4.113 59 × 10−5
Algebraic non-bipartivity χ =0.000 116 865
Spectral bipartite frustration bK =1.506 54 × 10−6
Controllability C =569,755
Relative controllability Cr =0.412 010

Plots

Fruchterman–Reingold graph drawing

Cumulative degree distribution

Lorenz curve

Hop distribution

Clustering coefficient distribution

SynGraphy

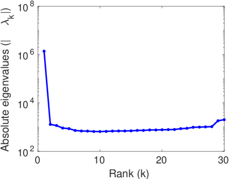
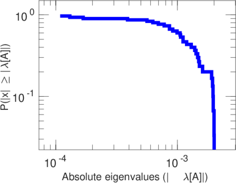
Matrix decompositions plots

Downloads

References

[1] Jérôme Kunegis. KONECT – The Koblenz Network Collection. In Proc. Int. Conf. on World Wide Web Companion, pages 1343–1350, 2013. [ http ]
[2] Paolo Boldi, Bruno Codenotti, Massimo Santini, and Sebastiano Vigna. UbiCrawler: A scalable fully distributed web crawler. Softw.: Pract. and Exp., 34(8):711–726, 2004.