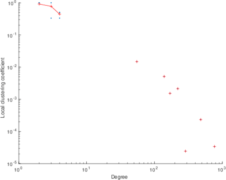
Average neighbor degree distribution

This page shows the average neighbor degree distribution for all networks to which it applies and for which it was computed.