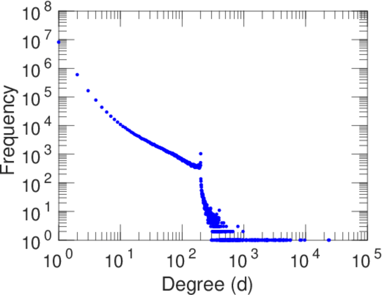
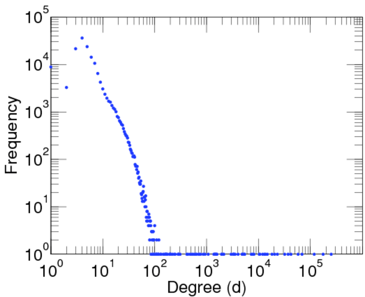
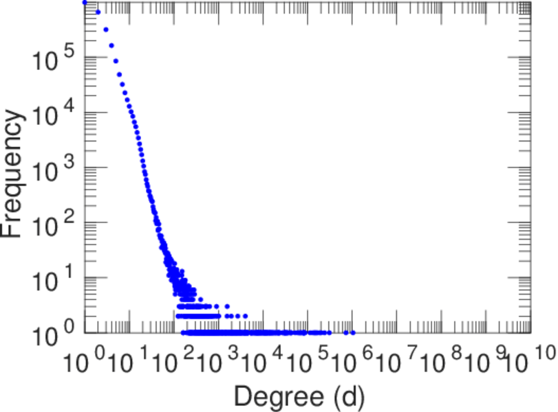
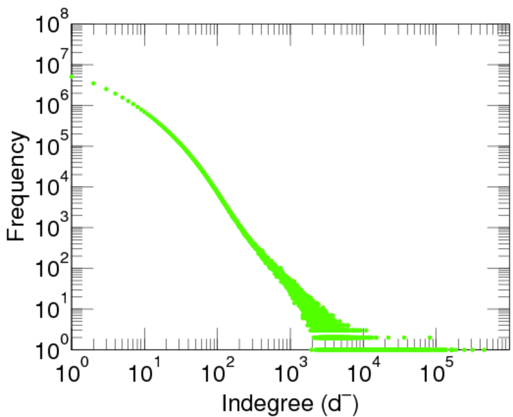
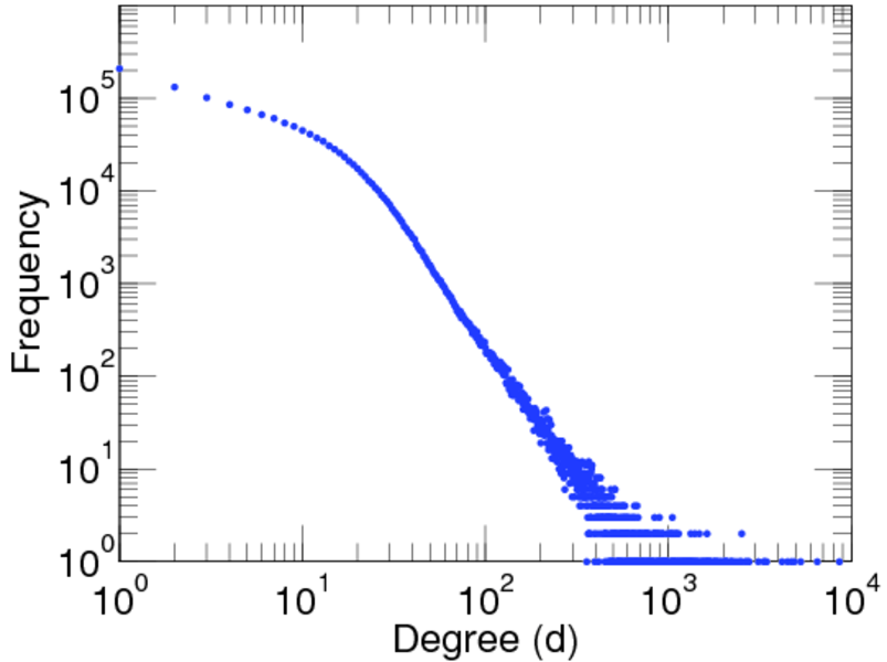
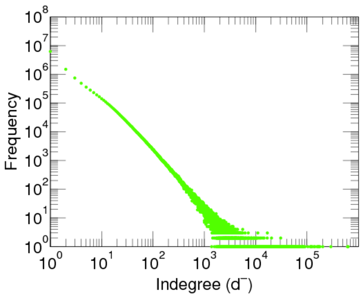
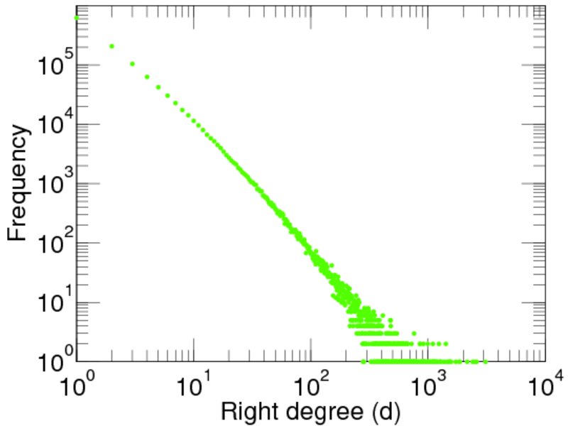
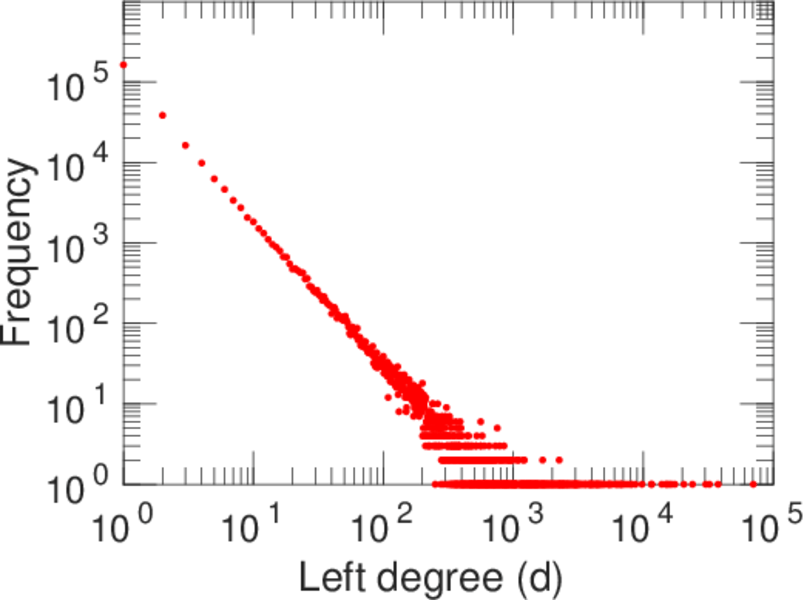
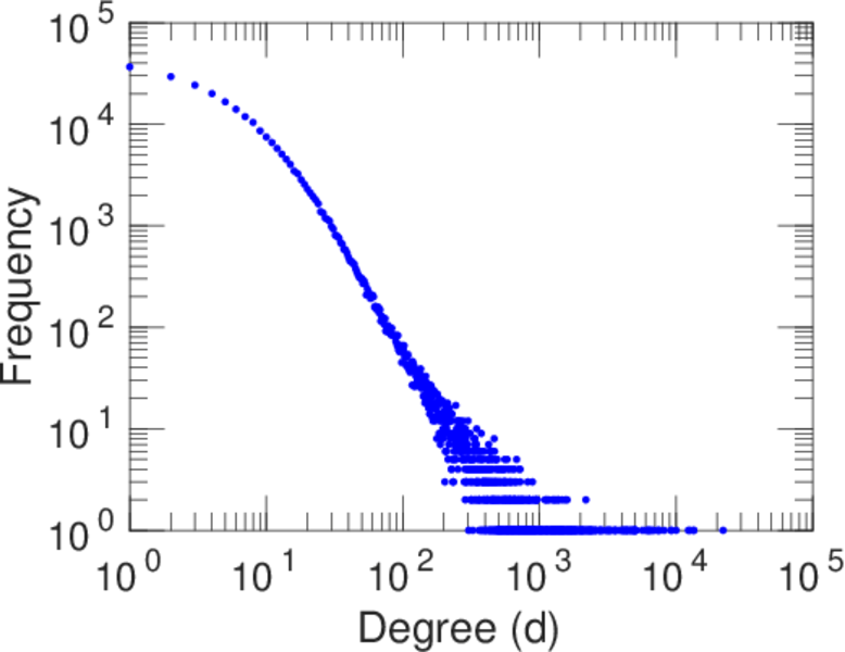
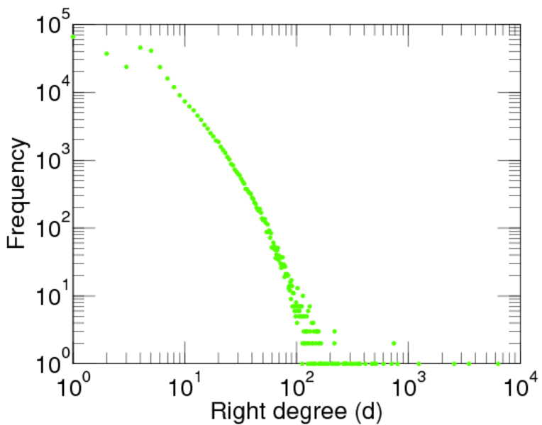
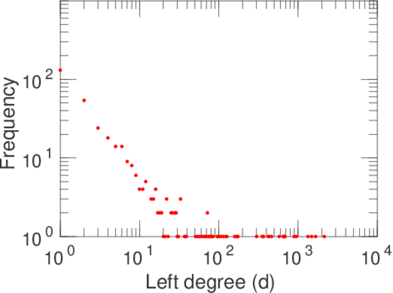
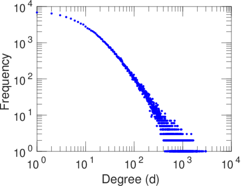
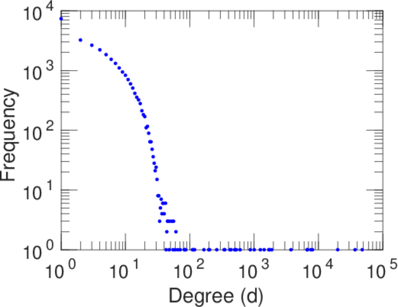
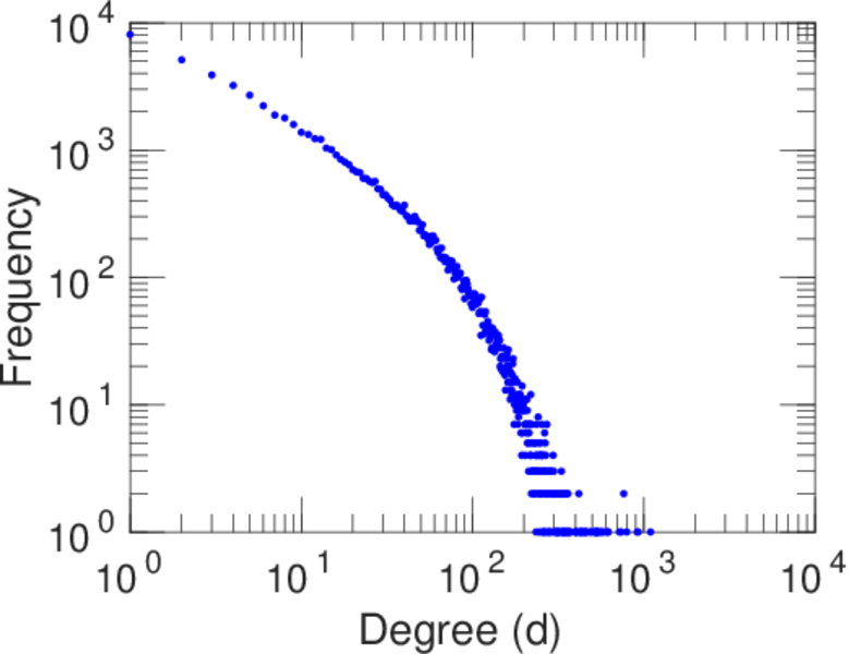
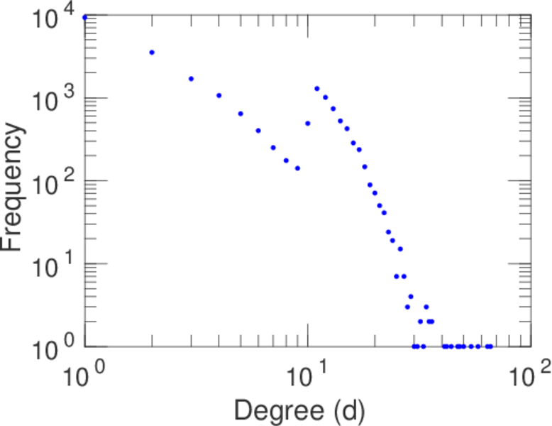
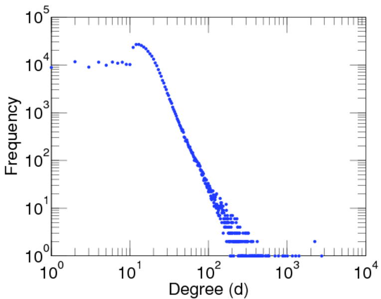
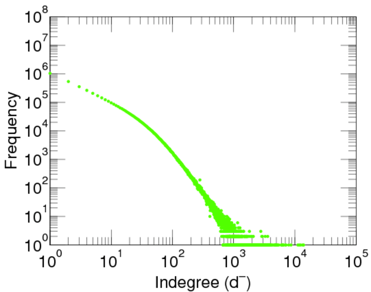
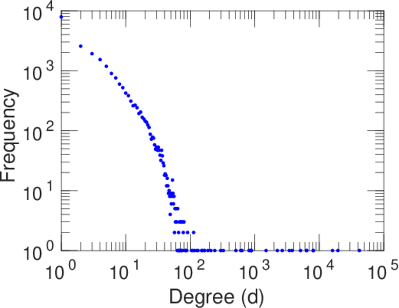
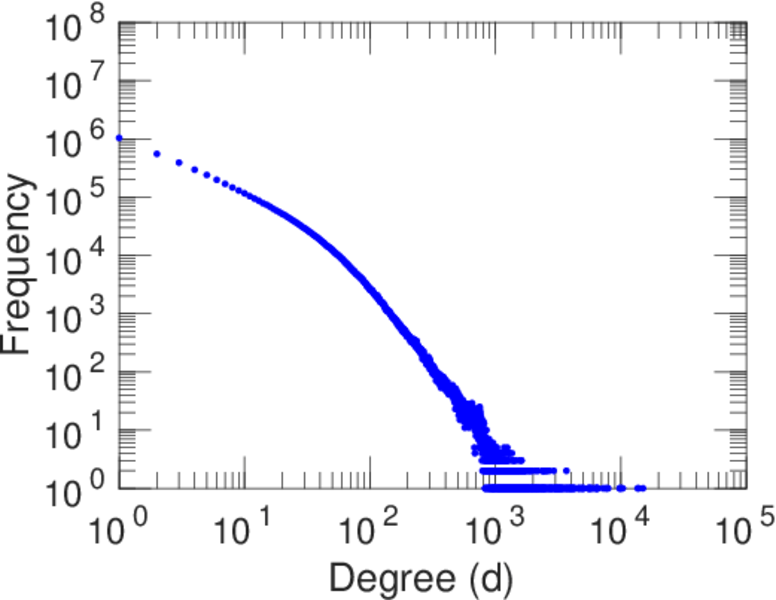
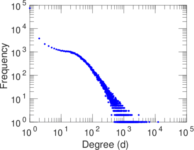
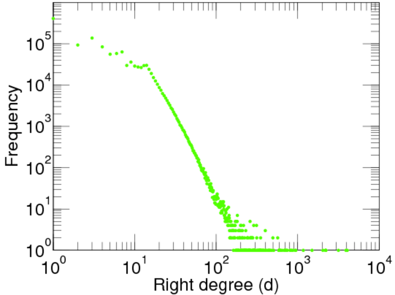
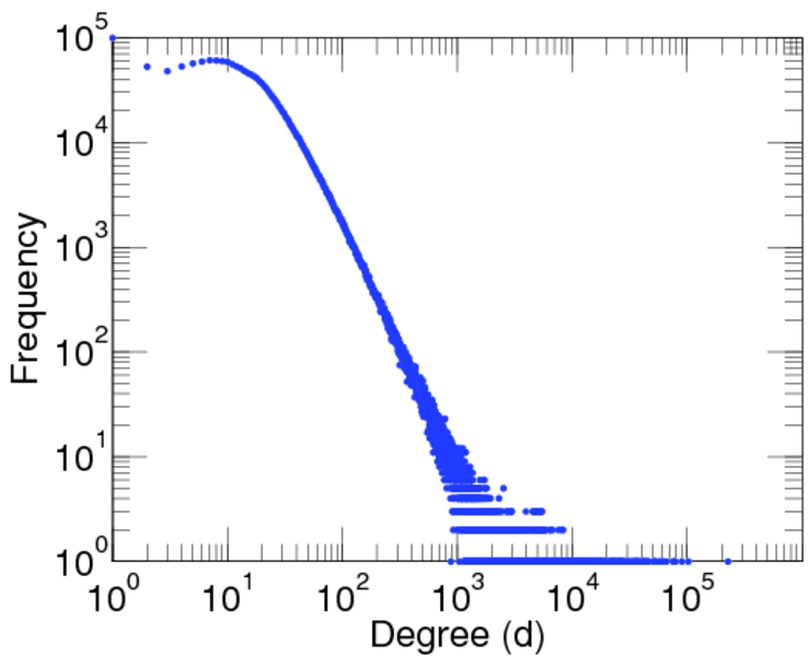
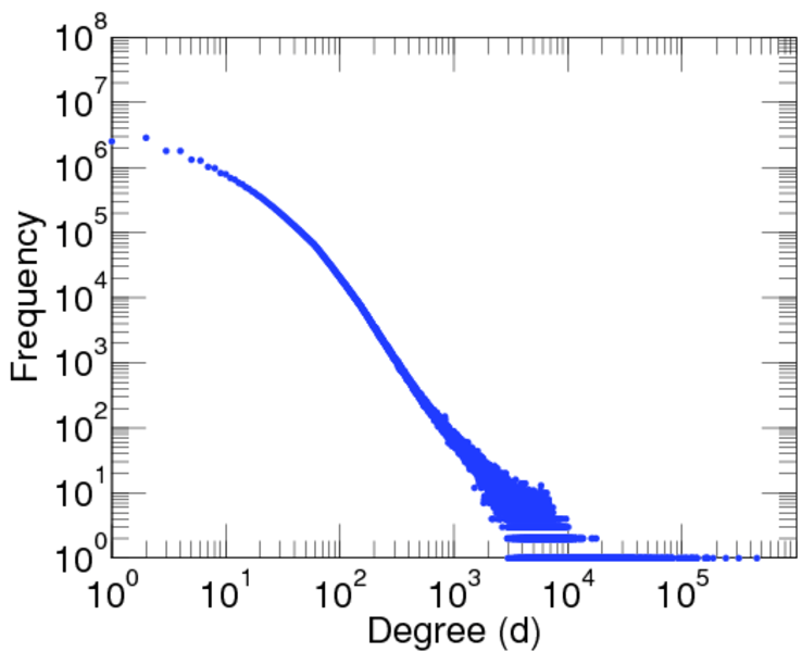
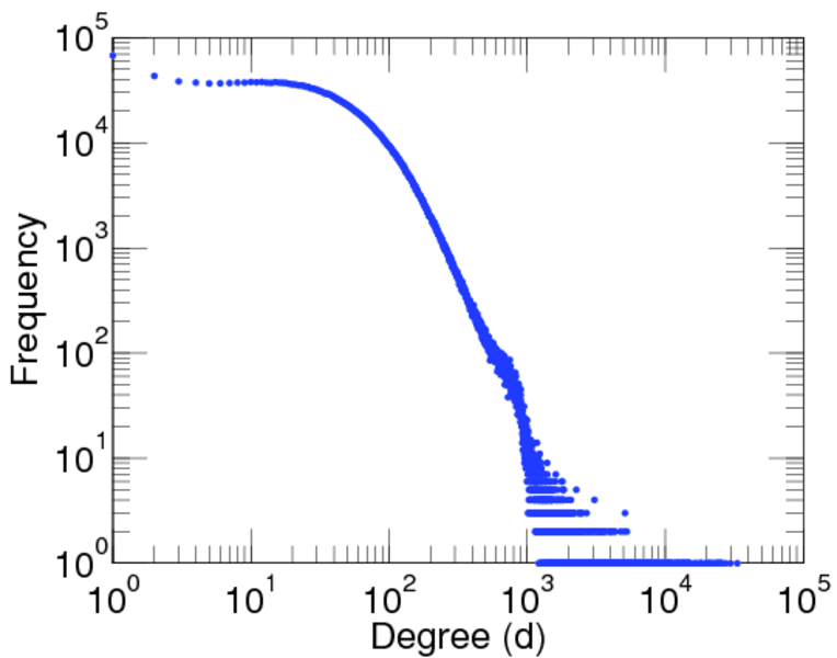
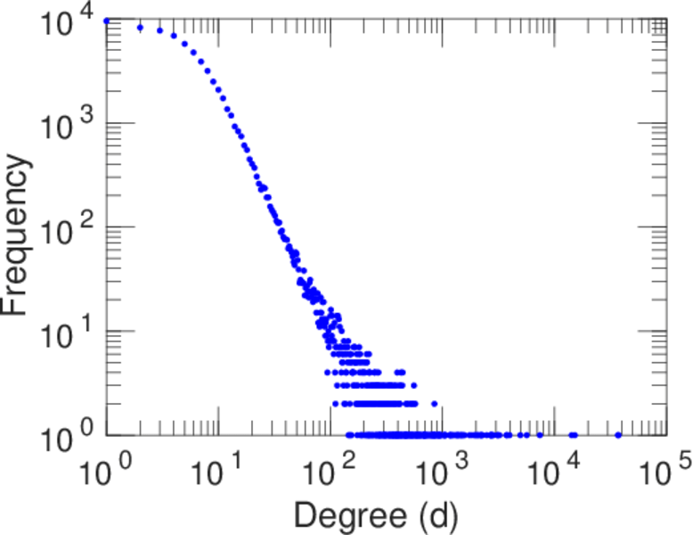
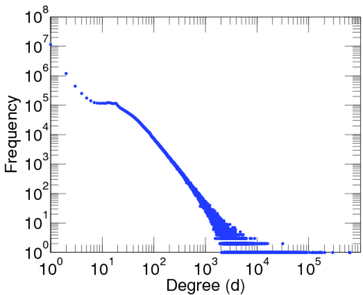
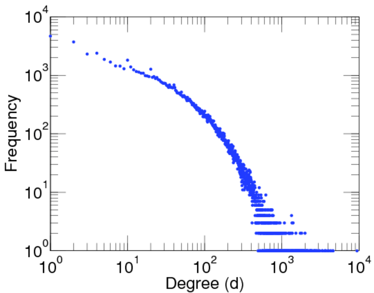
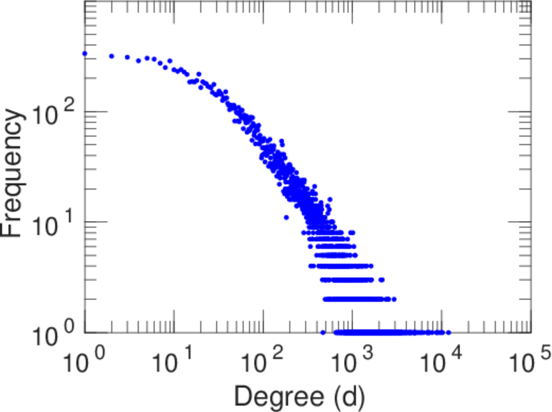
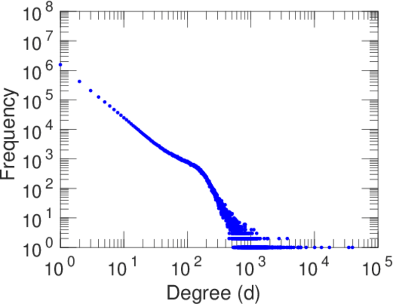
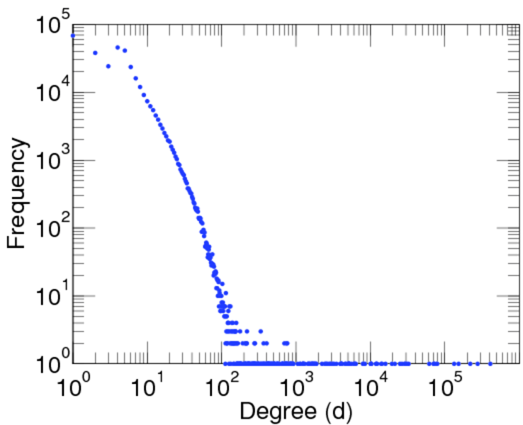
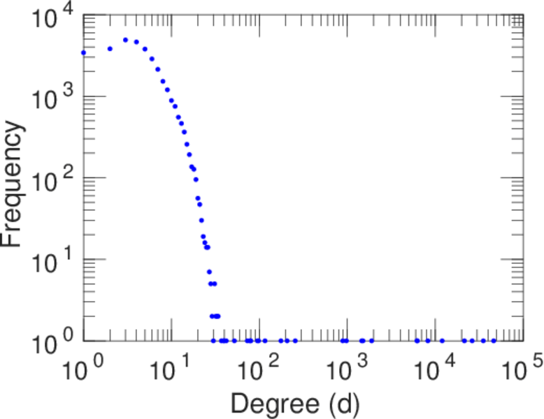
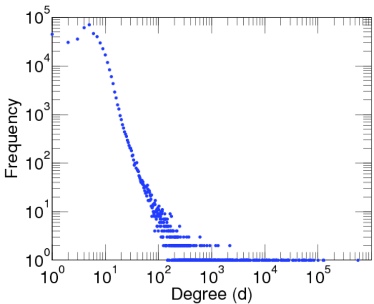
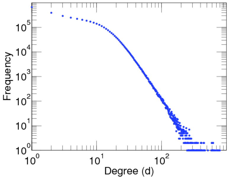
Degree distribution

This page shows the degree distribution for all networks to which it applies and for which it was computed.

This plot has several variants:

Overall degree distribution

Left/outdegree distribution

Right/indegree distribution