DNC emails

This is the directed network of emails in the 2016 Democratic National Committee email leak. The Democratic National Committee (DNC) is the formal governing body for the United States Democratic Party. A dump of emails of the DNC was leaked in 2016. Nodes in the network correspond to persons in the dataset. A directed edge in the dataset denotes that a person has sent an email to another person. Since an email can have any number of recipients, a single email is mapped to multiple edges in this dataset, resulting in the number of edges in this network being about twice the number of emails in the dump.

Metadata

CodeDNc
Internal namednc-temporalGraph
NameDNC emails
Data sourcehttp://www.rene-pickhardt.de/extracting-2-social-network-graphs-from-the-democratic-national-committee-email-corpus-on-wikileaks/
AvailabilityDataset is available for download
Consistency checkDataset passed all tests
Category
Communication network
Dataset timestamp 2016
Node meaningPerson
Edge meaningEmail
Network formatUnipartite, directed
Edge typeUnweighted, multiple edges
Temporal data Edges are annotated with timestamps
ReciprocalContains reciprocal edges
Directed cyclesContains directed cycles
LoopsContains loops
Snapshot Is a snapshot and likely to not contain all data

Statistics

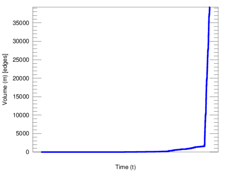
Size n =2,029
Volume m =39,264
Unique edge count m̿ =5,598
Wedge count s =317,905
Claw count z =59,899,010
Cross count x =6,944,032,926
Triangle count t =9,431
Square count q =209,206
4-Tour count T4 =2,954,036
Maximum degree dmax =5,813
Maximum outdegree d+max =4,073
Maximum indegree dmax =2,951
Average degree d =38.702 8
Fill p =0.001 565 49
Average edge multiplicity m̃ =7.013 93
Size of LCC N =1,833
Size of LSCC Ns =520
Relative size of LSCC Nrs =0.256 284
Diameter δ =8
50-Percentile effective diameter δ0.5 =2.824 58
90-Percentile effective diameter δ0.9 =3.982 21
Median distance δM =3
Mean distance δm =3.378 96
Gini coefficient G =0.911 291
Balanced inequality ratio P =0.096 653 4
Outdegree balanced inequality ratio P+ =0.104 498
Indegree balanced inequality ratio P =0.112 419
Relative edge distribution entropy Her =0.790 349
Power law exponent γ =2.773 64
Tail power law exponent γt =2.011 00
Tail power law exponent with p γ3 =2.011 00
p-value p =0.000 00
Outdegree tail power law exponent with p γ3,o =1.951 00
Outdegree p-value po =0.000 00
Indegree tail power law exponent with p γ3,i =2.011 00
Indegree p-value pi =0.004 000 00
Degree assortativity ρ =−0.306 550
Degree assortativity p-value pρ =3.924 42 × 10−190
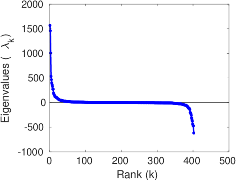
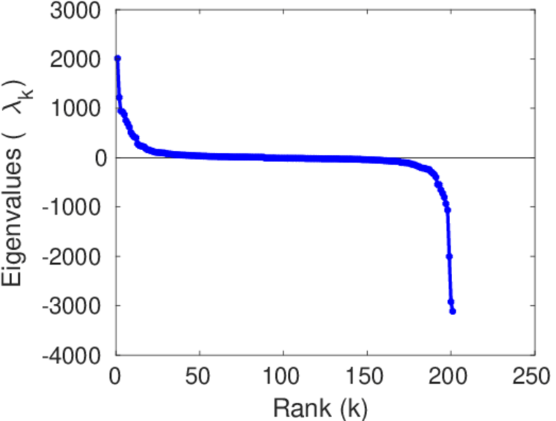
Spectral norm α =1,566.51
Algebraic connectivity a =0.047 944 7
Spectral separation 1[A] / λ2[A]| =1.073 48
Reciprocity y =0.419 257
Controllability C =1,500
Relative controllability Cr =0.793 231

Plots

Fruchterman–Reingold graph drawing

Degree distribution

Cumulative degree distribution

Lorenz curve

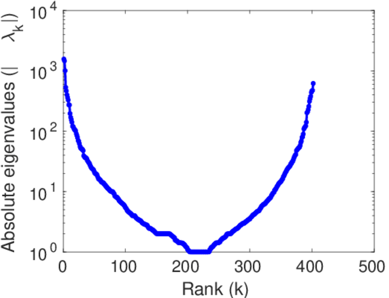
Spectral distribution of the adjacency matrix

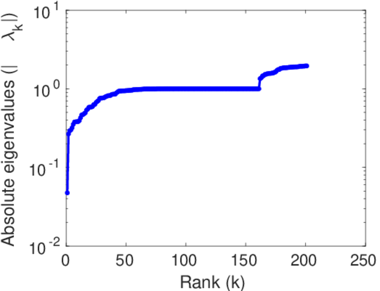
Spectral distribution of the normalized adjacency matrix

Spectral distribution of the Laplacian

Spectral graph drawing based on the adjacency matrix

Spectral graph drawing based on the Laplacian

Spectral graph drawing based on the normalized adjacency matrix

Degree assortativity

Zipf plot

Hop distribution

Double Laplacian graph drawing

Delaunay graph drawing

In/outdegree scatter plot

Edge weight/multiplicity distribution

Clustering coefficient distribution

Temporal distribution

Temporal hop distribution

Diameter/density evolution

Inter-event distribution

Node-level inter-event distribution

Matrix decompositions plots

Downloads

References

[1] Jérôme Kunegis. KONECT – The Koblenz Network Collection. In Proc. Int. Conf. on World Wide Web Companion, pages 1343–1350, 2013. [ http ]