Wikiquote edits (als)

This is the bipartite edit network of the Alemannisch Wikiquote. It contains users and pages from the Alemannisch Wikiquote, connected by edit events. Each edge represents an edit. The dataset includes the timestamp of each edit.

Metadata

Codeqals
Internal nameedit-alswikiquote
NameWikiquote edits (als)
Data sourcehttp://dumps.wikimedia.org/
AvailabilityDataset is available for download
Consistency checkDataset passed all tests
Category
Authorship network
Dataset timestamp 2017-10-20
Node meaningUser, article
Edge meaningEdit
Network formatBipartite, undirected
Edge typeUnweighted, multiple edges
Temporal data Edges are annotated with timestamps

Statistics

Size n =111
Left size n1 =35
Right size n2 =76
Volume m =124
Unique edge count m̿ =92
Wedge count s =321
Claw count z =1,136
Cross count x =3,281
Square count q =46
4-Tour count T4 =1,848
Maximum degree dmax =33
Maximum left degree d1max =33
Maximum right degree d2max =8
Average degree d =2.234 23
Average left degree d1 =3.542 86
Average right degree d2 =1.631 58
Fill p =0.034 586 5
Average edge multiplicity m̃ =1.347 83
Size of LCC N =25
Diameter δ =5
50-Percentile effective diameter δ0.5 =1.827 53
90-Percentile effective diameter δ0.9 =3.509 92
Median distance δM =2
Mean distance δm =2.474 00
Gini coefficient G =0.475 913
Balanced inequality ratio P =0.326 613
Left balanced inequality ratio P1 =0.250 000
Right balanced inequality ratio P2 =0.379 032
Relative edge distribution entropy Her =0.916 202
Power law exponent γ =4.999 60
Tail power law exponent γt =2.621 00
Tail power law exponent with p γ3 =2.621 00
p-value p =0.046 000 0
Left tail power law exponent with p γ3,1 =2.091 00
Left p-value p1 =0.588 000
Right tail power law exponent with p γ3,2 =3.181 00
Right p-value p2 =0.032 000 0
Degree assortativity ρ =+0.162 428
Degree assortativity p-value pρ =0.121 877
Spectral norm α =10.783 3
Algebraic connectivity a =0.396 649
Spectral separation 1[A] / λ2[A]| =1.498 15
Controllability C =43
Relative controllability Cr =0.387 387

Plots

Fruchterman–Reingold graph drawing

Degree distribution

Cumulative degree distribution

Lorenz curve

Spectral distribution of the adjacency matrix

Spectral distribution of the normalized adjacency matrix

Spectral distribution of the Laplacian

Spectral graph drawing based on the adjacency matrix

Spectral graph drawing based on the Laplacian

Spectral graph drawing based on the normalized adjacency matrix

Degree assortativity

Zipf plot

Hop distribution

Double Laplacian graph drawing

Delaunay graph drawing

Edge weight/multiplicity distribution

Temporal distribution

Temporal hop distribution

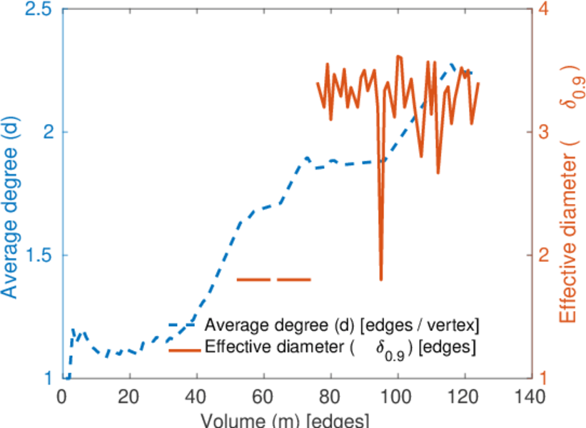
Diameter/density evolution

Inter-event distribution

Node-level inter-event distribution

Matrix decompositions plots

Downloads

References

[1] Jérôme Kunegis. KONECT – The Koblenz Network Collection. In Proc. Int. Conf. on World Wide Web Companion, pages 1343–1350, 2013. [ http ]
[2] Wikimedia Foundation. Wikimedia downloads. http://dumps.wikimedia.org/, January 2010.