Wiktionary edits (az)

This is the bipartite edit network of the Azerbaijani Wiktionary. It contains users and pages from the Azerbaijani Wiktionary, connected by edit events. Each edge represents an edit. The dataset includes the timestamp of each edit.

Metadata

Codemaz
Internal nameedit-azwiktionary
NameWiktionary edits (az)
Data sourcehttp://dumps.wikimedia.org/
AvailabilityDataset is available for download
Consistency checkDataset passed all tests
Category
Authorship network
Dataset timestamp 2017-10-20
Node meaningUser, article
Edge meaningEdit
Network formatBipartite, undirected
Edge typeUnweighted, multiple edges
Temporal data Edges are annotated with timestamps

Statistics

Size n =59,734
Left size n1 =539
Right size n2 =59,195
Volume m =333,151
Unique edge count m̿ =193,141
Wedge count s =1,871,434,577
Claw count z =19,008,224,139,312
Cross count x =173,764,029,757,213,408
Square count q =955,760,580
4-Tour count T4 =15,132,209,542
Maximum degree dmax =80,773
Maximum left degree d1max =80,773
Maximum right degree d2max =3,545
Average degree d =11.154 5
Average left degree d1 =618.091
Average right degree d2 =5.628 03
Fill p =0.006 053 42
Average edge multiplicity m̃ =1.724 91
Size of LCC N =59,342
Diameter δ =13
50-Percentile effective diameter δ0.5 =1.754 80
90-Percentile effective diameter δ0.9 =3.721 93
Median distance δM =2
Mean distance δm =2.683 27
Gini coefficient G =0.729 326
Balanced inequality ratio P =0.222 401
Left balanced inequality ratio P1 =0.039 444 6
Right balanced inequality ratio P2 =0.337 718
Relative edge distribution entropy Her =0.683 850
Power law exponent γ =1.991 58
Tail power law exponent γt =3.731 00
Tail power law exponent with p γ3 =3.731 00
p-value p =0.000 00
Left tail power law exponent with p γ3,1 =1.411 00
Left p-value p1 =0.018 000 0
Right tail power law exponent with p γ3,2 =3.871 00
Right p-value p2 =0.000 00
Degree assortativity ρ =−0.236 358
Degree assortativity p-value pρ =0.000 00
Spectral norm α =2,573.62
Algebraic connectivity a =0.008 368 46
Spectral separation 1[A] / λ2[A]| =2.456 39
Controllability C =58,590
Relative controllability Cr =0.982 922

Plots

Fruchterman–Reingold graph drawing

Degree distribution

Cumulative degree distribution

Lorenz curve

Spectral distribution of the adjacency matrix

Spectral distribution of the normalized adjacency matrix

Spectral distribution of the Laplacian

Spectral graph drawing based on the adjacency matrix

Spectral graph drawing based on the Laplacian

Spectral graph drawing based on the normalized adjacency matrix

Degree assortativity

Zipf plot

Hop distribution

Double Laplacian graph drawing

Delaunay graph drawing

Edge weight/multiplicity distribution

Temporal distribution

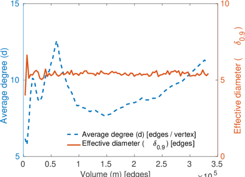
Diameter/density evolution

Matrix decompositions plots

Downloads

References

[1] Jérôme Kunegis. KONECT – The Koblenz Network Collection. In Proc. Int. Conf. on World Wide Web Companion, pages 1343–1350, 2013. [ http ]
[2] Wikimedia Foundation. Wikimedia downloads. http://dumps.wikimedia.org/, January 2010.