Wikiquote edits (be)

This is the bipartite edit network of the Belarusian Wikisource. It contains users and pages from the Belarusian Wikisource, connected by edit events. Each edge represents an edit. The dataset includes the timestamp of each edit.

Metadata

Codeqbe
Internal nameedit-bewikisource
NameWikiquote edits (be)
Data sourcehttp://dumps.wikimedia.org/
AvailabilityDataset is available for download
Consistency checkDataset passed all tests
Category
Authorship network
Dataset timestamp 2017-10-20
Node meaningUser, article
Edge meaningEdit
Network formatBipartite, undirected
Edge typeUnweighted, multiple edges
Temporal data Edges are annotated with timestamps

Statistics

Size n =10,087
Left size n1 =247
Right size n2 =9,840
Volume m =25,040
Unique edge count m̿ =16,112
Wedge count s =25,381,841
Claw count z =38,929,362,055
Cross count x =50,250,334,184,553
Square count q =3,465,705
4-Tour count T4 =129,319,692
Maximum degree dmax =9,108
Maximum left degree d1max =9,108
Maximum right degree d2max =172
Average degree d =4.964 81
Average left degree d1 =101.377
Average right degree d2 =2.544 72
Fill p =0.006 629 14
Average edge multiplicity m̃ =1.554 12
Size of LCC N =9,884
Diameter δ =12
50-Percentile effective diameter δ0.5 =3.152 70
90-Percentile effective diameter δ0.9 =3.930 89
Median distance δM =4
Mean distance δm =3.313 18
Gini coefficient G =0.697 161
Balanced inequality ratio P =0.237 460
Left balanced inequality ratio P1 =0.061 861 0
Right balanced inequality ratio P2 =0.344 888
Relative edge distribution entropy Her =0.689 509
Power law exponent γ =3.690 65
Tail power law exponent γt =3.671 00
Tail power law exponent with p γ3 =3.671 00
p-value p =0.000 00
Left tail power law exponent with p γ3,1 =1.631 00
Left p-value p1 =0.355 000
Right tail power law exponent with p γ3,2 =6.431 00
Right p-value p2 =0.595 000
Degree assortativity ρ =−0.322 421
Degree assortativity p-value pρ =0.000 00
Spectral norm α =164.518
Algebraic connectivity a =0.016 849 7
Spectral separation 1[A] / λ2[A]| =1.150 24
Controllability C =9,612
Relative controllability Cr =0.954 518

Plots

Fruchterman–Reingold graph drawing

Degree distribution

Cumulative degree distribution

Lorenz curve

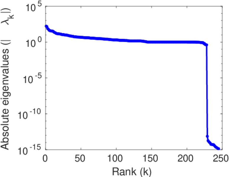
Spectral distribution of the adjacency matrix

Spectral distribution of the normalized adjacency matrix

Spectral distribution of the Laplacian

Spectral graph drawing based on the adjacency matrix

Spectral graph drawing based on the Laplacian

Spectral graph drawing based on the normalized adjacency matrix

Degree assortativity

Zipf plot

Hop distribution

Double Laplacian graph drawing

Delaunay graph drawing

Edge weight/multiplicity distribution

Temporal distribution

Temporal hop distribution

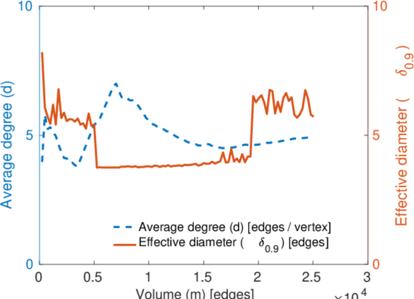
Diameter/density evolution

Matrix decompositions plots

Downloads

References

[1] Jérôme Kunegis. KONECT – The Koblenz Network Collection. In Proc. Int. Conf. on World Wide Web Companion, pages 1343–1350, 2013. [ http ]
[2] Wikimedia Foundation. Wikimedia downloads. http://dumps.wikimedia.org/, January 2010.