Wikibooks edits (bg)

This is the bipartite edit network of the Bulgarian Wikibooks. It contains users and pages from the Bulgarian Wikibooks, connected by edit events. Each edge represents an edit. The dataset includes the timestamp of each edit.

Metadata

Codebbg
Internal nameedit-bgwikibooks
NameWikibooks edits (bg)
Data sourcehttp://dumps.wikimedia.org/
AvailabilityDataset is available for download
Consistency checkDataset passed all tests
Category
Authorship network
Dataset timestamp 2017-10-20
Node meaningUser, article
Edge meaningEdit
Network formatBipartite, undirected
Edge typeUnweighted, multiple edges
Temporal data Edges are annotated with timestamps

Statistics

Size n =2,271
Left size n1 =392
Right size n2 =1,879
Volume m =6,788
Unique edge count m̿ =2,611
Wedge count s =123,584
Claw count z =7,875,467
Cross count x =441,460,987
Square count q =30,742
4-Tour count T4 =747,022
Maximum degree dmax =1,450
Maximum left degree d1max =1,450
Maximum right degree d2max =461
Average degree d =5.977 98
Average left degree d1 =17.316 3
Average right degree d2 =3.612 56
Fill p =0.003 544 82
Average edge multiplicity m̃ =2.599 77
Size of LCC N =1,807
Diameter δ =14
50-Percentile effective diameter δ0.5 =5.093 41
90-Percentile effective diameter δ0.9 =7.537 65
Median distance δM =6
Mean distance δm =5.459 79
Gini coefficient G =0.756 153
Balanced inequality ratio P =0.197 702
Left balanced inequality ratio P1 =0.129 051
Right balanced inequality ratio P2 =0.266 794
Relative edge distribution entropy Her =0.847 496
Power law exponent γ =3.948 56
Tail power law exponent γt =2.371 00
Tail power law exponent with p γ3 =2.371 00
p-value p =0.000 00
Left tail power law exponent with p γ3,1 =1.851 00
Left p-value p1 =0.531 000
Right tail power law exponent with p γ3,2 =4.011 00
Right p-value p2 =0.000 00
Degree assortativity ρ =−0.172 706
Degree assortativity p-value pρ =6.247 60 × 10−19
Spectral norm α =515.619
Algebraic connectivity a =0.004 356 16
Spectral separation 1[A] / λ2[A]| =3.945 94
Controllability C =1,464
Relative controllability Cr =0.678 406

Plots

Fruchterman–Reingold graph drawing

Degree distribution

Cumulative degree distribution

Lorenz curve

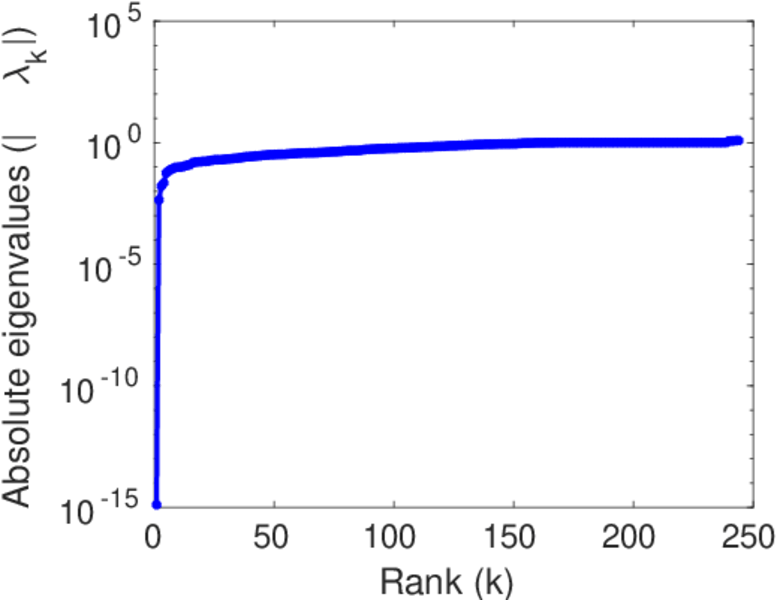
Spectral distribution of the adjacency matrix

Spectral distribution of the normalized adjacency matrix

Spectral distribution of the Laplacian

Spectral graph drawing based on the adjacency matrix

Spectral graph drawing based on the Laplacian

Spectral graph drawing based on the normalized adjacency matrix

Degree assortativity

Zipf plot

Hop distribution

Double Laplacian graph drawing

Delaunay graph drawing

Edge weight/multiplicity distribution

Temporal distribution

Temporal hop distribution

Diameter/density evolution

Matrix decompositions plots

Downloads

References

[1] Jérôme Kunegis. KONECT – The Koblenz Network Collection. In Proc. Int. Conf. on World Wide Web Companion, pages 1343–1350, 2013. [ http ]
[2] Wikimedia Foundation. Wikimedia downloads. http://dumps.wikimedia.org/, January 2010.