Wiktionary edits (bi)

This is the bipartite edit network of the Bislama Wiktionary. It contains users and pages from the Bislama Wiktionary, connected by edit events. Each edge represents an edit. The dataset includes the timestamp of each edit.

Metadata

Codembi
Internal nameedit-biwiktionary
NameWiktionary edits (bi)
Data sourcehttp://dumps.wikimedia.org/
AvailabilityDataset is available for download
Consistency checkDataset passed all tests
Category
Authorship network
Dataset timestamp 2017-10-20
Node meaningUser, article
Edge meaningEdit
Network formatBipartite, undirected
Edge typeUnweighted, multiple edges
Temporal data Edges are annotated with timestamps

Statistics

Size n =244
Left size n1 =29
Right size n2 =215
Volume m =245
Unique edge count m̿ =227
Wedge count s =5,792
Claw count z =141,193
Cross count x =2,577,475
Square count q =29
4-Tour count T4 =24,162
Maximum degree dmax =78
Maximum left degree d1max =78
Maximum right degree d2max =5
Average degree d =2.008 20
Average left degree d1 =8.448 28
Average right degree d2 =1.139 53
Fill p =0.036 407 4
Average edge multiplicity m̃ =1.079 30
Size of LCC N =78
Diameter δ =2
50-Percentile effective diameter δ0.5 =1.481 26
90-Percentile effective diameter δ0.9 =1.896 25
Median distance δM =2
Mean distance δm =1.952 09
Gini coefficient G =0.524 101
Balanced inequality ratio P =0.302 041
Left balanced inequality ratio P1 =0.183 673
Right balanced inequality ratio P2 =0.461 224
Relative edge distribution entropy Her =0.801 954
Power law exponent γ =7.749 24
Tail power law exponent γt =3.101 00
Tail power law exponent with p γ3 =3.101 00
p-value p =0.003 000 00
Left tail power law exponent with p γ3,1 =1.911 00
Left p-value p1 =0.570 000
Right tail power law exponent with p γ3,2 =4.581 00
Right p-value p2 =0.100 000
Degree assortativity ρ =−0.461 556
Degree assortativity p-value pρ =2.235 49 × 10−13
Spectral norm α =8.831 76
Spectral separation 1[A] / λ2[A]| =1.026 67
Controllability C =188
Relative controllability Cr =0.770 492

Plots

Fruchterman–Reingold graph drawing

Degree distribution

Cumulative degree distribution

Lorenz curve

Spectral distribution of the adjacency matrix

Spectral distribution of the normalized adjacency matrix

Spectral distribution of the Laplacian

Spectral graph drawing based on the adjacency matrix

Spectral graph drawing based on the normalized adjacency matrix

Degree assortativity

Zipf plot

Hop distribution

Double Laplacian graph drawing

Delaunay graph drawing

Edge weight/multiplicity distribution

Temporal distribution

Temporal hop distribution

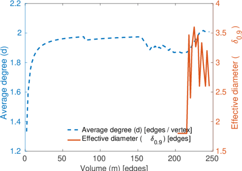
Diameter/density evolution

Matrix decompositions plots

Downloads

References

[1] Jérôme Kunegis. KONECT – The Koblenz Network Collection. In Proc. Int. Conf. on World Wide Web Companion, pages 1343–1350, 2013. [ http ]
[2] Wikimedia Foundation. Wikimedia downloads. http://dumps.wikimedia.org/, January 2010.