Wiktionary edits (bo)

This is the bipartite edit network of the Tibetan Wiktionary. It contains users and pages from the Tibetan Wiktionary, connected by edit events. Each edge represents an edit. The dataset includes the timestamp of each edit.

Metadata

Codembo
Internal nameedit-bowiktionary
NameWiktionary edits (bo)
Data sourcehttp://dumps.wikimedia.org/
AvailabilityDataset is available for download
Consistency checkDataset passed all tests
Category
Authorship network
Dataset timestamp 2017-10-20
Node meaningUser, article
Edge meaningEdit
Network formatBipartite, undirected
Edge typeUnweighted, multiple edges
Temporal data Edges are annotated with timestamps

Statistics

Size n =195
Left size n1 =27
Right size n2 =168
Volume m =204
Unique edge count m̿ =189
Wedge count s =3,743
Claw count z =76,774
Cross count x =1,263,329
Square count q =31
4-Tour count T4 =15,762
Maximum degree dmax =74
Maximum left degree d1max =74
Maximum right degree d2max =9
Average degree d =2.092 31
Average left degree d1 =7.555 56
Average right degree d2 =1.214 29
Fill p =0.041 666 7
Average edge multiplicity m̃ =1.079 37
Size of LCC N =75
Diameter δ =2
50-Percentile effective diameter δ0.5 =1.479 83
90-Percentile effective diameter δ0.9 =1.895 97
Median distance δM =2
Mean distance δm =1.948 36
Gini coefficient G =0.538 545
Balanced inequality ratio P =0.289 216
Left balanced inequality ratio P1 =0.186 275
Right balanced inequality ratio P2 =0.450 980
Relative edge distribution entropy Her =0.814 999
Power law exponent γ =6.255 44
Tail power law exponent γt =2.861 00
Tail power law exponent with p γ3 =2.861 00
p-value p =0.012 000 0
Left tail power law exponent with p γ3,1 =1.711 00
Left p-value p1 =0.423 000
Right tail power law exponent with p γ3,2 =3.901 00
Right p-value p2 =0.349 000
Degree assortativity ρ =−0.400 092
Degree assortativity p-value pρ =1.170 84 × 10−8
Spectral norm α =8.602 33
Spectral separation 1[A] / λ2[A]| =1.323 65
Controllability C =145
Relative controllability Cr =0.743 590

Plots

Fruchterman–Reingold graph drawing

Degree distribution

Cumulative degree distribution

Lorenz curve

Spectral distribution of the adjacency matrix

Spectral distribution of the normalized adjacency matrix

Spectral distribution of the Laplacian

Spectral graph drawing based on the adjacency matrix

Spectral graph drawing based on the normalized adjacency matrix

Degree assortativity

Zipf plot

Hop distribution

Double Laplacian graph drawing

Delaunay graph drawing

Edge weight/multiplicity distribution

Temporal distribution

Temporal hop distribution

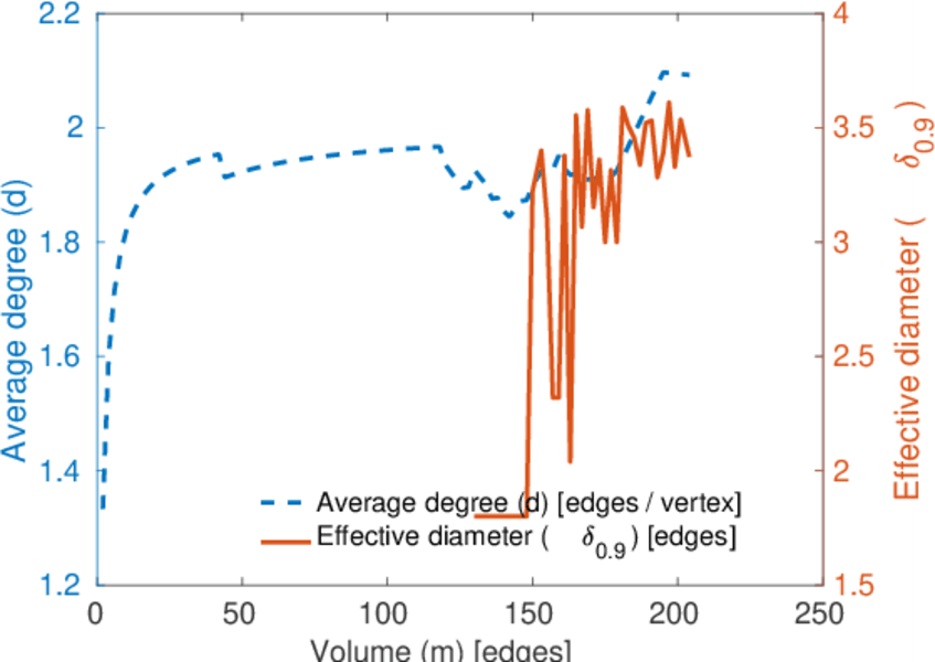
Diameter/density evolution

Matrix decompositions plots

Downloads

References

[1] Jérôme Kunegis. KONECT – The Koblenz Network Collection. In Proc. Int. Conf. on World Wide Web Companion, pages 1343–1350, 2013. [ http ]
[2] Wikimedia Foundation. Wikimedia downloads. http://dumps.wikimedia.org/, January 2010.