Wikinews edits (bs)

This is the bipartite edit network of the Bosnian Wikinews. It contains users and pages from the Bosnian Wikinews, connected by edit events. Each edge represents an edit. The dataset includes the timestamp of each edit.

Metadata

Codenbs
Internal nameedit-bswikinews
NameWikinews edits (bs)
Data sourcehttp://dumps.wikimedia.org/
AvailabilityDataset is available for download
Consistency checkDataset passed all tests
Category
Authorship network
Dataset timestamp 2017-10-20
Node meaningUser, article
Edge meaningEdit
Network formatBipartite, undirected
Edge typeUnweighted, multiple edges
Temporal data Edges are annotated with timestamps

Statistics

Size n =4,540
Left size n1 =281
Right size n2 =4,259
Volume m =18,981
Unique edge count m̿ =10,043
Wedge count s =6,604,021
Claw count z =5,062,054,975
Cross count x =3,323,143,480,212
Square count q =2,371,625
4-Tour count T4 =45,414,030
Maximum degree dmax =7,677
Maximum left degree d1max =7,677
Maximum right degree d2max =354
Average degree d =8.361 67
Average left degree d1 =67.548 0
Average right degree d2 =4.456 68
Fill p =0.008 391 69
Average edge multiplicity m̃ =1.889 97
Size of LCC N =4,241
Diameter δ =15
50-Percentile effective diameter δ0.5 =1.990 41
90-Percentile effective diameter δ0.9 =7.517 45
Median distance δM =2
Mean distance δm =3.966 27
Gini coefficient G =0.723 875
Balanced inequality ratio P =0.233 207
Left balanced inequality ratio P1 =0.063 958 7
Right balanced inequality ratio P2 =0.326 853
Relative edge distribution entropy Her =0.736 200
Power law exponent γ =2.438 69
Tail power law exponent γt =3.101 00
Tail power law exponent with p γ3 =3.101 00
p-value p =0.000 00
Left tail power law exponent with p γ3,1 =1.691 00
Left p-value p1 =0.078 000 0
Right tail power law exponent with p γ3,2 =4.941 00
Right p-value p2 =0.759 000
Degree assortativity ρ =−0.219 552
Degree assortativity p-value pρ =6.927 69 × 10−110
Spectral norm α =320.423
Algebraic connectivity a =0.007 050 01
Spectral separation 1[A] / λ2[A]| =1.687 88
Controllability C =4,003
Relative controllability Cr =0.882 690

Plots

Fruchterman–Reingold graph drawing

Degree distribution

Cumulative degree distribution

Lorenz curve

Spectral distribution of the adjacency matrix

Spectral distribution of the normalized adjacency matrix

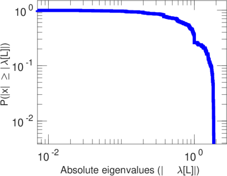
Spectral distribution of the Laplacian

Spectral graph drawing based on the adjacency matrix

Spectral graph drawing based on the Laplacian

Spectral graph drawing based on the normalized adjacency matrix

Degree assortativity

Zipf plot

Hop distribution

Double Laplacian graph drawing

Delaunay graph drawing

Edge weight/multiplicity distribution

Temporal distribution

Temporal hop distribution

Diameter/density evolution

Matrix decompositions plots

Downloads

References

[1] Jérôme Kunegis. KONECT – The Koblenz Network Collection. In Proc. Int. Conf. on World Wide Web Companion, pages 1343–1350, 2013. [ http ]
[2] Wikimedia Foundation. Wikimedia downloads. http://dumps.wikimedia.org/, January 2010.