Wikipedia edits (chr)

This is the bipartite edit network of the Cherokee Wikipedia. It contains users and pages from the Cherokee Wikipedia, connected by edit events. Each edge represents an edit. The dataset includes the timestamp of each edit.

Metadata

Codechr
Internal nameedit-chrwiki
NameWikipedia edits (chr)
Data sourcehttp://dumps.wikimedia.org/
AvailabilityDataset is available for download
Consistency checkDataset passed all tests
Category
Authorship network
Dataset timestamp 2017-10-20
Node meaningUser, article
Edge meaningEdit
Network formatBipartite, undirected
Edge typeUnweighted, multiple edges
Temporal data Edges are annotated with timestamps

Statistics

Size n =4,273
Left size n1 =864
Right size n2 =3,409
Volume m =29,664
Unique edge count m̿ =13,542
Wedge count s =1,863,783
Claw count z =299,584,922
Cross count x =48,470,243,197
Square count q =3,991,489
4-Tour count T4 =39,419,008
Maximum degree dmax =1,799
Maximum left degree d1max =1,799
Maximum right degree d2max =298
Average degree d =13.884 4
Average left degree d1 =34.333 3
Average right degree d2 =8.701 67
Fill p =0.004 597 72
Average edge multiplicity m̃ =2.190 52
Size of LCC N =3,615
Diameter δ =12
50-Percentile effective diameter δ0.5 =3.589 69
90-Percentile effective diameter δ0.9 =5.643 18
Median distance δM =4
Mean distance δm =4.178 47
Gini coefficient G =0.847 539
Balanced inequality ratio P =0.138 484
Left balanced inequality ratio P1 =0.096 615 4
Right balanced inequality ratio P2 =0.170 341
Relative edge distribution entropy Her =0.801 019
Power law exponent γ =2.442 71
Tail power law exponent γt =1.881 00
Tail power law exponent with p γ3 =1.881 00
p-value p =0.000 00
Left tail power law exponent with p γ3,1 =1.701 00
Left p-value p1 =0.000 00
Right tail power law exponent with p γ3,2 =5.051 00
Right p-value p2 =0.609 000
Degree assortativity ρ =−0.212 577
Degree assortativity p-value pρ =3.543 62 × 10−138
Spectral norm α =267.741
Algebraic connectivity a =0.022 745 4
Spectral separation 1[A] / λ2[A]| =2.356 17
Controllability C =2,642
Relative controllability Cr =0.626 958

Plots

Fruchterman–Reingold graph drawing

Degree distribution

Cumulative degree distribution

Lorenz curve

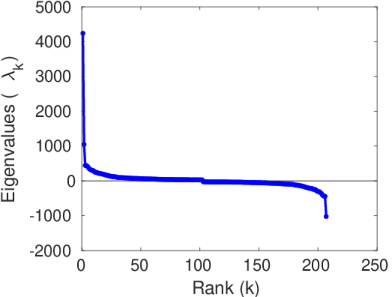
Spectral distribution of the adjacency matrix

Spectral distribution of the normalized adjacency matrix

Spectral distribution of the Laplacian

Spectral graph drawing based on the adjacency matrix

Spectral graph drawing based on the Laplacian

Spectral graph drawing based on the normalized adjacency matrix

Degree assortativity

Zipf plot

Hop distribution

Double Laplacian graph drawing

Delaunay graph drawing

Edge weight/multiplicity distribution

Temporal distribution

Temporal hop distribution

Diameter/density evolution

Matrix decompositions plots

Downloads

References

[1] Jérôme Kunegis. KONECT – The Koblenz Network Collection. In Proc. Int. Conf. on World Wide Web Companion, pages 1343–1350, 2013. [ http ]
[2] Wikimedia Foundation. Wikimedia downloads. http://dumps.wikimedia.org/, January 2010.