Wikibooks edits (cs)

This is the bipartite edit network of the Czech Wikibooks. It contains users and pages from the Czech Wikibooks, connected by edit events. Each edge represents an edit. The dataset includes the timestamp of each edit.

Metadata

Codebcs
Internal nameedit-cswikibooks
NameWikibooks edits (cs)
Data sourcehttp://dumps.wikimedia.org/
AvailabilityDataset is available for download
Consistency checkDataset passed all tests
Category
Authorship network
Dataset timestamp 2017-10-20
Node meaningUser, article
Edge meaningEdit
Network formatBipartite, undirected
Edge typeUnweighted, multiple edges
Temporal data Edges are annotated with timestamps

Statistics

Size n =4,918
Left size n1 =790
Right size n2 =4,128
Volume m =22,552
Unique edge count m̿ =9,273
Wedge count s =2,149,893
Claw count z =680,208,069
Cross count x =188,867,505,312
Square count q =413,246
4-Tour count T4 =11,939,470
Maximum degree dmax =2,395
Maximum left degree d1max =2,395
Maximum right degree d2max =373
Average degree d =9.171 21
Average left degree d1 =28.546 8
Average right degree d2 =5.463 18
Fill p =0.002 843 50
Average edge multiplicity m̃ =2.432 01
Size of LCC N =4,602
Diameter δ =11
50-Percentile effective diameter δ0.5 =3.500 66
90-Percentile effective diameter δ0.9 =5.406 03
Median distance δM =4
Mean distance δm =4.022 97
Gini coefficient G =0.762 554
Balanced inequality ratio P =0.202 044
Left balanced inequality ratio P1 =0.112 717
Right balanced inequality ratio P2 =0.275 364
Relative edge distribution entropy Her =0.803 522
Power law exponent γ =2.585 80
Tail power law exponent γt =2.711 00
Tail power law exponent with p γ3 =2.711 00
p-value p =0.000 00
Left tail power law exponent with p γ3,1 =1.851 00
Left p-value p1 =0.272 000
Right tail power law exponent with p γ3,2 =3.831 00
Right p-value p2 =0.287 000
Degree assortativity ρ =−0.145 835
Degree assortativity p-value pρ =2.985 14 × 10−45
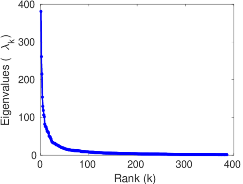
Spectral norm α =380.870
Algebraic connectivity a =0.042 247 8
Spectral separation 1[A] / λ2[A]| =1.457 93
Controllability C =3,531
Relative controllability Cr =0.727 891

Plots

Fruchterman–Reingold graph drawing

Degree distribution

Cumulative degree distribution

Lorenz curve

Spectral distribution of the adjacency matrix

Spectral distribution of the normalized adjacency matrix

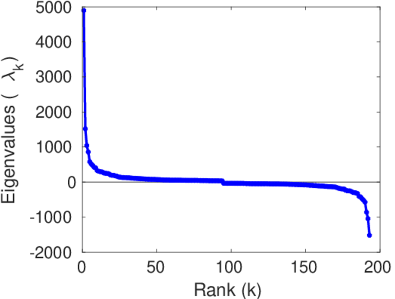
Spectral distribution of the Laplacian

Spectral graph drawing based on the adjacency matrix

Spectral graph drawing based on the Laplacian

Spectral graph drawing based on the normalized adjacency matrix

Degree assortativity

Zipf plot

Hop distribution

Double Laplacian graph drawing

Delaunay graph drawing

Edge weight/multiplicity distribution

Temporal distribution

Temporal hop distribution

Diameter/density evolution

Matrix decompositions plots

Downloads

References

[1] Jérôme Kunegis. KONECT – The Koblenz Network Collection. In Proc. Int. Conf. on World Wide Web Companion, pages 1343–1350, 2013. [ http ]
[2] Wikimedia Foundation. Wikimedia downloads. http://dumps.wikimedia.org/, January 2010.