Wikibooks edits (cv)

This is the bipartite edit network of the Chuvash Wikibooks. It contains users and pages from the Chuvash Wikibooks, connected by edit events. Each edge represents an edit. The dataset includes the timestamp of each edit.

Metadata

Codebcv
Internal nameedit-cvwikibooks
NameWikibooks edits (cv)
Data sourcehttp://dumps.wikimedia.org/
AvailabilityDataset is available for download
Consistency checkDataset passed all tests
Category
Authorship network
Dataset timestamp 2017-10-20
Node meaningUser, article
Edge meaningEdit
Network formatBipartite, undirected
Edge typeUnweighted, multiple edges
Temporal data Edges are annotated with timestamps

Statistics

Size n =914
Left size n1 =207
Right size n2 =707
Volume m =1,498
Unique edge count m̿ =851
Wedge count s =21,196
Claw count z =1,047,161
Cross count x =45,036,622
Square count q =267
4-Tour count T4 =88,694
Maximum degree dmax =202
Maximum left degree d1max =202
Maximum right degree d2max =125
Average degree d =3.277 90
Average left degree d1 =7.236 71
Average right degree d2 =2.118 81
Fill p =0.005 814 87
Average edge multiplicity m̃ =1.760 28
Size of LCC N =580
Diameter δ =19
50-Percentile effective diameter δ0.5 =7.031 13
90-Percentile effective diameter δ0.9 =10.308 6
Median distance δM =8
Mean distance δm =6.972 73
Gini coefficient G =0.651 556
Balanced inequality ratio P =0.243 658
Left balanced inequality ratio P1 =0.214 953
Right balanced inequality ratio P2 =0.309 079
Relative edge distribution entropy Her =0.880 817
Power law exponent γ =4.699 05
Tail power law exponent γt =2.551 00
Tail power law exponent with p γ3 =2.551 00
p-value p =0.024 000 0
Left tail power law exponent with p γ3,1 =2.171 00
Left p-value p1 =0.920 000
Right tail power law exponent with p γ3,2 =3.151 00
Right p-value p2 =0.003 000 00
Degree assortativity ρ =−0.176 724
Degree assortativity p-value pρ =2.117 94 × 10−7
Spectral norm α =92.815 0
Algebraic connectivity a =0.002 392 25
Spectral separation 1[A] / λ2[A]| =2.052 45
Controllability C =489
Relative controllability Cr =0.553 794

Plots

Fruchterman–Reingold graph drawing

Degree distribution

Cumulative degree distribution

Lorenz curve

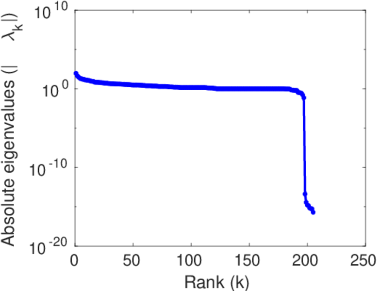
Spectral distribution of the adjacency matrix

Spectral distribution of the normalized adjacency matrix

Spectral distribution of the Laplacian

Spectral graph drawing based on the adjacency matrix

Spectral graph drawing based on the Laplacian

Spectral graph drawing based on the normalized adjacency matrix

Degree assortativity

Zipf plot

Hop distribution

Double Laplacian graph drawing

Delaunay graph drawing

Edge weight/multiplicity distribution

Temporal distribution

Temporal hop distribution

Diameter/density evolution

Matrix decompositions plots

Downloads

References

[1] Jérôme Kunegis. KONECT – The Koblenz Network Collection. In Proc. Int. Conf. on World Wide Web Companion, pages 1343–1350, 2013. [ http ]
[2] Wikimedia Foundation. Wikimedia downloads. http://dumps.wikimedia.org/, January 2010.