Wikiquote edits (cy)

This is the bipartite edit network of the Welsh Wikiquote. It contains users and pages from the Welsh Wikiquote, connected by edit events. Each edge represents an edit. The dataset includes the timestamp of each edit.

Metadata

Codeqcy
Internal nameedit-cywikiquote
NameWikiquote edits (cy)
Data sourcehttp://dumps.wikimedia.org/
AvailabilityDataset is available for download
Consistency checkDataset passed all tests
Category
Authorship network
Dataset timestamp 2017-10-20
Node meaningUser, article
Edge meaningEdit
Network formatBipartite, undirected
Edge typeUnweighted, multiple edges
Temporal data Edges are annotated with timestamps

Statistics

Size n =1,557
Left size n1 =208
Right size n2 =1,349
Volume m =3,591
Unique edge count m̿ =2,492
Wedge count s =263,535
Claw count z =30,882,623
Cross count x =3,100,979,019
Square count q =79,443
4-Tour count T4 =1,694,800
Maximum degree dmax =849
Maximum left degree d1max =849
Maximum right degree d2max =143
Average degree d =4.612 72
Average left degree d1 =17.264 4
Average right degree d2 =2.661 97
Fill p =0.008 881 22
Average edge multiplicity m̃ =1.441 01
Size of LCC N =1,277
Diameter δ =16
50-Percentile effective diameter δ0.5 =3.635 33
90-Percentile effective diameter δ0.9 =6.840 23
Median distance δM =4
Mean distance δm =4.455 30
Gini coefficient G =0.693 265
Balanced inequality ratio P =0.233 222
Left balanced inequality ratio P1 =0.127 820
Right balanced inequality ratio P2 =0.316 625
Relative edge distribution entropy Her =0.797 198
Power law exponent γ =2.866 20
Tail power law exponent γt =2.481 00
Tail power law exponent with p γ3 =2.481 00
p-value p =0.000 00
Left tail power law exponent with p γ3,1 =1.751 00
Left p-value p1 =0.202 000
Right tail power law exponent with p γ3,2 =6.311 00
Right p-value p2 =0.872 000
Degree assortativity ρ =−0.085 092 6
Degree assortativity p-value pρ =2.105 45 × 10−5
Spectral norm α =88.453 3
Algebraic connectivity a =0.010 559 4
Spectral separation 1[A] / λ2[A]| =1.355 17
Controllability C =1,078
Relative controllability Cr =0.733 333

Plots

Fruchterman–Reingold graph drawing

Degree distribution

Cumulative degree distribution

Lorenz curve

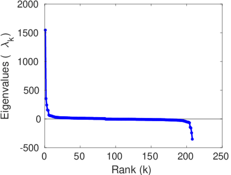
Spectral distribution of the adjacency matrix

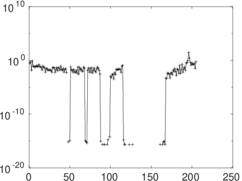
Spectral distribution of the normalized adjacency matrix

Spectral distribution of the Laplacian

Spectral graph drawing based on the adjacency matrix

Spectral graph drawing based on the Laplacian

Spectral graph drawing based on the normalized adjacency matrix

Degree assortativity

Zipf plot

Hop distribution

Double Laplacian graph drawing

Delaunay graph drawing

Edge weight/multiplicity distribution

Temporal distribution

Temporal hop distribution

Diameter/density evolution

Matrix decompositions plots

Downloads

References

[1] Jérôme Kunegis. KONECT – The Koblenz Network Collection. In Proc. Int. Conf. on World Wide Web Companion, pages 1343–1350, 2013. [ http ]
[2] Wikimedia Foundation. Wikimedia downloads. http://dumps.wikimedia.org/, January 2010.