Wikipedia edits (dz)

This is the bipartite edit network of the Dzongkha Wikipedia. It contains users and pages from the Dzongkha Wikipedia, connected by edit events. Each edge represents an edit. The dataset includes the timestamp of each edit.

Metadata

Codedz
Internal nameedit-dzwiki
NameWikipedia edits (dz)
Data sourcehttp://dumps.wikimedia.org/
AvailabilityDataset is available for download
Consistency checkDataset passed all tests
Category
Authorship network
Dataset timestamp 2017-10-20
Node meaningUser, article
Edge meaningEdit
Network formatBipartite, undirected
Edge typeUnweighted, multiple edges
Temporal data Edges are annotated with timestamps

Statistics

Size n =2,362
Left size n1 =621
Right size n2 =1,741
Volume m =17,931
Unique edge count m̿ =6,922
Wedge count s =448,869
Claw count z =28,222,323
Cross count x =2,112,740,104
Square count q =1,553,202
4-Tour count T4 =14,243,244
Maximum degree dmax =1,551
Maximum left degree d1max =1,551
Maximum right degree d2max =244
Average degree d =15.182 9
Average left degree d1 =28.874 4
Average right degree d2 =10.299 3
Fill p =0.006 402 38
Average edge multiplicity m̃ =2.590 44
Size of LCC N =1,707
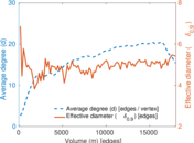
Diameter δ =13
50-Percentile effective diameter δ0.5 =3.796 17
90-Percentile effective diameter δ0.9 =6.130 14
Median distance δM =4
Mean distance δm =4.529 55
Gini coefficient G =0.855 480
Balanced inequality ratio P =0.131 504
Left balanced inequality ratio P1 =0.108 862
Right balanced inequality ratio P2 =0.147 566
Relative edge distribution entropy Her =0.813 706
Power law exponent γ =2.542 34
Tail power law exponent γt =1.921 00
Tail power law exponent with p γ3 =1.921 00
p-value p =0.000 00
Left tail power law exponent with p γ3,1 =1.721 00
Left p-value p1 =0.000 00
Right tail power law exponent with p γ3,2 =2.021 00
Right p-value p2 =0.000 00
Degree assortativity ρ =−0.120 824
Degree assortativity p-value pρ =6.273 36 × 10−24
Spectral norm α =282.279
Algebraic connectivity a =0.022 553 2
Spectral separation 1[A] / λ2[A]| =2.062 35
Controllability C =1,185
Relative controllability Cr =0.509 239

Plots

Fruchterman–Reingold graph drawing

Degree distribution

Cumulative degree distribution

Lorenz curve

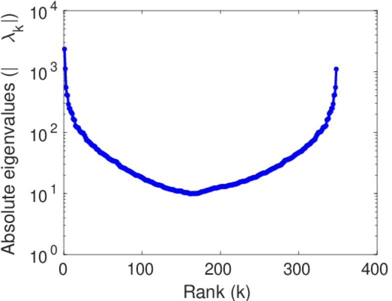
Spectral distribution of the adjacency matrix

Spectral distribution of the normalized adjacency matrix

Spectral distribution of the Laplacian

Spectral graph drawing based on the adjacency matrix

Spectral graph drawing based on the Laplacian

Spectral graph drawing based on the normalized adjacency matrix

Degree assortativity

Zipf plot

Hop distribution

Double Laplacian graph drawing

Delaunay graph drawing

Edge weight/multiplicity distribution

Temporal distribution

Temporal hop distribution

Diameter/density evolution

Matrix decompositions plots

Downloads

References

[1] Jérôme Kunegis. KONECT – The Koblenz Network Collection. In Proc. Int. Conf. on World Wide Web Companion, pages 1343–1350, 2013. [ http ]
[2] Wikimedia Foundation. Wikimedia downloads. http://dumps.wikimedia.org/, January 2010.