Wikipedia edits (ee)

This is the bipartite edit network of the Ewe Wikipedia. It contains users and pages from the Ewe Wikipedia, connected by edit events. Each edge represents an edit. The dataset includes the timestamp of each edit.

Metadata

Codeee
Internal nameedit-eewiki
NameWikipedia edits (ee)
Data sourcehttp://dumps.wikimedia.org/
AvailabilityDataset is available for download
Consistency checkDataset passed all tests
Category
Authorship network
Dataset timestamp 2017-10-20
Node meaningUser, article
Edge meaningEdit
Network formatBipartite, undirected
Edge typeUnweighted, multiple edges
Temporal data Edges are annotated with timestamps

Statistics

Size n =3,343
Left size n1 =748
Right size n2 =2,595
Volume m =33,264
Unique edge count m̿ =13,606
Wedge count s =1,545,170
Claw count z =160,156,502
Cross count x =17,000,648,420
Square count q =6,404,384
4-Tour count T4 =57,446,828
Maximum degree dmax =3,295
Maximum left degree d1max =3,295
Maximum right degree d2max =216
Average degree d =19.900 7
Average left degree d1 =44.470 6
Average right degree d2 =12.818 5
Fill p =0.007 009 57
Average edge multiplicity m̃ =2.444 80
Size of LCC N =2,736
Diameter δ =14
50-Percentile effective diameter δ0.5 =3.694 46
90-Percentile effective diameter δ0.9 =5.801 62
Median distance δM =4
Mean distance δm =4.368 93
Gini coefficient G =0.848 828
Balanced inequality ratio P =0.140 888
Left balanced inequality ratio P1 =0.095 689 0
Right balanced inequality ratio P2 =0.151 696
Relative edge distribution entropy Her =0.803 485
Power law exponent γ =2.245 30
Tail power law exponent γt =1.791 00
Tail power law exponent with p γ3 =1.791 00
p-value p =0.000 00
Left tail power law exponent with p γ3,1 =1.661 00
Left p-value p1 =0.000 00
Right tail power law exponent with p γ3,2 =1.841 00
Right p-value p2 =0.000 00
Degree assortativity ρ =−0.149 212
Degree assortativity p-value pρ =1.401 81 × 10−68
Spectral norm α =345.076
Algebraic connectivity a =0.007 641 57
Spectral separation 1[A] / λ2[A]| =2.483 22
Controllability C =1,944
Relative controllability Cr =0.589 091

Plots

Fruchterman–Reingold graph drawing

Degree distribution

Cumulative degree distribution

Lorenz curve

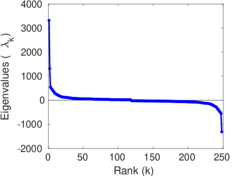
Spectral distribution of the adjacency matrix

Spectral distribution of the normalized adjacency matrix

Spectral distribution of the Laplacian

Spectral graph drawing based on the adjacency matrix

Spectral graph drawing based on the Laplacian

Spectral graph drawing based on the normalized adjacency matrix

Degree assortativity

Zipf plot

Hop distribution

Double Laplacian graph drawing

Delaunay graph drawing

Edge weight/multiplicity distribution

Temporal distribution

Temporal hop distribution

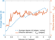
Diameter/density evolution

Matrix decompositions plots

Downloads

References

[1] Jérôme Kunegis. KONECT – The Koblenz Network Collection. In Proc. Int. Conf. on World Wide Web Companion, pages 1343–1350, 2013. [ http ]
[2] Wikimedia Foundation. Wikimedia downloads. http://dumps.wikimedia.org/, January 2010.