Wikinews edits (en)

This is the bipartite edit network of the English Wikinews. It contains users and pages from the English Wikinews, connected by edit events. Each edge represents an edit. The dataset includes the timestamp of each edit.

Metadata

Codenen
Internal nameedit-enwikinews
NameWikinews edits (en)
Data sourcehttp://dumps.wikimedia.org/
AvailabilityDataset is available for download
Consistency checkDataset passed all tests
Category
Authorship network
Dataset timestamp 2017-10-20
Node meaningUser, article
Edge meaningEdit
Network formatBipartite, undirected
Edge typeUnweighted, multiple edges
Temporal data Edges are annotated with timestamps

Statistics

Size n =2,766,389
Left size n1 =15,724
Right size n2 =2,750,665
Volume m =4,035,910
Unique edge count m̿ =3,037,738
Wedge count s =3,309,004,248,451
Claw count z =2,835,484,426,357,594,624
Cross count x =1.823 16 × 1024
Square count q =95,011,761
4-Tour count T4 =13,238,347,969,716
Maximum degree dmax =2,571,930
Maximum left degree d1max =2,571,930
Maximum right degree d2max =205,667
Average degree d =2.917 82
Average left degree d1 =256.672
Average right degree d2 =1.467 25
Fill p =0.000 201 843
Average edge multiplicity m̃ =1.328 59
Size of LCC N =2,753,395
Diameter δ =13
50-Percentile effective diameter δ0.5 =1.545 22
90-Percentile effective diameter δ0.9 =1.981 40
Median distance δM =2
Mean distance δm =2.207 14
Gini coefficient G =0.658 430
Balanced inequality ratio P =0.253 231
Left balanced inequality ratio P1 =0.029 609 7
Right balanced inequality ratio P2 =0.404 478
Relative edge distribution entropy Her =0.586 520
Power law exponent γ =22.813 5
Tail power law exponent γt =4.381 00
Degree assortativity ρ =−0.225 894
Degree assortativity p-value pρ =0.000 00
Spectral norm α =205,660
Algebraic connectivity a =0.001 139 29
Spectral separation 1[A] / λ2[A]| =5.184 35
Controllability C =2,731,312
Relative controllability Cr =0.989 851

Plots

Fruchterman–Reingold graph drawing

Degree distribution

Cumulative degree distribution

Lorenz curve

Spectral distribution of the adjacency matrix

Spectral distribution of the normalized adjacency matrix

Spectral distribution of the Laplacian

Spectral graph drawing based on the adjacency matrix

Spectral graph drawing based on the Laplacian

Spectral graph drawing based on the normalized adjacency matrix

Degree assortativity

Zipf plot

Hop distribution

Delaunay graph drawing

Edge weight/multiplicity distribution

Temporal distribution

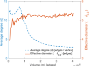
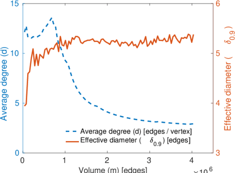
Diameter/density evolution

Inter-event distribution

Node-level inter-event distribution

Matrix decompositions plots

Downloads

References

[1] Jérôme Kunegis. KONECT – The Koblenz Network Collection. In Proc. Int. Conf. on World Wide Web Companion, pages 1343–1350, 2013. [ http ]
[2] Wikimedia Foundation. Wikimedia downloads. http://dumps.wikimedia.org/, January 2010.