Wikibooks edits (et)

This is the bipartite edit network of the Estonian Wikibooks. It contains users and pages from the Estonian Wikibooks, connected by edit events. Each edge represents an edit. The dataset includes the timestamp of each edit.

Metadata

Codebet
Internal nameedit-etwikibooks
NameWikibooks edits (et)
Data sourcehttp://dumps.wikimedia.org/
AvailabilityDataset is available for download
Consistency checkDataset passed all tests
Category
Authorship network
Dataset timestamp 2017-10-20
Node meaningUser, article
Edge meaningEdit
Network formatBipartite, undirected
Edge typeUnweighted, multiple edges
Temporal data Edges are annotated with timestamps

Statistics

Size n =1,447
Left size n1 =201
Right size n2 =1,246
Volume m =4,863
Unique edge count m̿ =1,881
Wedge count s =148,160
Claw count z =13,646,886
Cross count x =1,088,212,032
Square count q =15,443
4-Tour count T4 =721,098
Maximum degree dmax =887
Maximum left degree d1max =887
Maximum right degree d2max =235
Average degree d =6.721 49
Average left degree d1 =24.194 0
Average right degree d2 =3.902 89
Fill p =0.007 510 60
Average edge multiplicity m̃ =2.585 33
Size of LCC N =1,177
Diameter δ =14
50-Percentile effective diameter δ0.5 =3.638 96
90-Percentile effective diameter δ0.9 =6.859 06
Median distance δM =4
Mean distance δm =4.474 61
Gini coefficient G =0.785 647
Balanced inequality ratio P =0.177 874
Left balanced inequality ratio P1 =0.103 023
Right balanced inequality ratio P2 =0.249 229
Relative edge distribution entropy Her =0.806 662
Power law exponent γ =3.836 71
Tail power law exponent γt =2.341 00
Tail power law exponent with p γ3 =2.341 00
p-value p =0.000 00
Left tail power law exponent with p γ3,1 =1.811 00
Left p-value p1 =0.085 000 0
Right tail power law exponent with p γ3,2 =5.361 00
Right p-value p2 =0.755 000
Degree assortativity ρ =−0.069 082 3
Degree assortativity p-value pρ =0.002 720 05
Spectral norm α =338.982
Algebraic connectivity a =0.012 710 4
Spectral separation 1[A] / λ2[A]| =2.533 16
Controllability C =1,058
Relative controllability Cr =0.732 687

Plots

Fruchterman–Reingold graph drawing

Degree distribution

Cumulative degree distribution

Lorenz curve

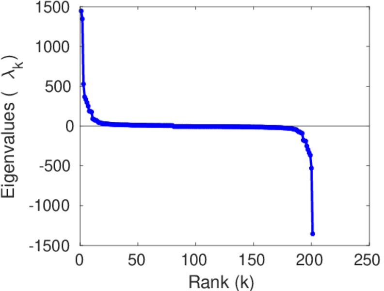
Spectral distribution of the adjacency matrix

Spectral distribution of the normalized adjacency matrix

Spectral distribution of the Laplacian

Spectral graph drawing based on the adjacency matrix

Spectral graph drawing based on the Laplacian

Spectral graph drawing based on the normalized adjacency matrix

Degree assortativity

Zipf plot

Hop distribution

Double Laplacian graph drawing

Delaunay graph drawing

Edge weight/multiplicity distribution

Temporal distribution

Temporal hop distribution

Diameter/density evolution

Matrix decompositions plots

Downloads

References

[1] Jérôme Kunegis. KONECT – The Koblenz Network Collection. In Proc. Int. Conf. on World Wide Web Companion, pages 1343–1350, 2013. [ http ]
[2] Wikimedia Foundation. Wikimedia downloads. http://dumps.wikimedia.org/, January 2010.