Wikibooks edits (eu)

This is the bipartite edit network of the Basque Wikibooks. It contains users and pages from the Basque Wikibooks, connected by edit events. Each edge represents an edit. The dataset includes the timestamp of each edit.

Metadata

Codebeu
Internal nameedit-euwikibooks
NameWikibooks edits (eu)
Data sourcehttp://dumps.wikimedia.org/
AvailabilityDataset is available for download
Consistency checkDataset passed all tests
Category
Authorship network
Dataset timestamp 2017-10-20
Node meaningUser, article
Edge meaningEdit
Network formatBipartite, undirected
Edge typeUnweighted, multiple edges
Temporal data Edges are annotated with timestamps

Statistics

Size n =1,197
Left size n1 =189
Right size n2 =1,008
Volume m =4,898
Unique edge count m̿ =1,294
Wedge count s =49,521
Claw count z =2,301,777
Cross count x =90,383,767
Square count q =1,975
4-Tour count T4 =216,584
Maximum degree dmax =1,786
Maximum left degree d1max =1,786
Maximum right degree d2max =176
Average degree d =8.183 79
Average left degree d1 =25.915 3
Average right degree d2 =4.859 13
Fill p =0.006 792 22
Average edge multiplicity m̃ =3.785 16
Size of LCC N =956
Diameter δ =13
50-Percentile effective diameter δ0.5 =4.463 55
90-Percentile effective diameter δ0.9 =8.037 49
Median distance δM =5
Mean distance δm =5.409 22
Gini coefficient G =0.804 072
Balanced inequality ratio P =0.167 313
Left balanced inequality ratio P1 =0.105 553
Right balanced inequality ratio P2 =0.222 131
Relative edge distribution entropy Her =0.840 057
Power law exponent γ =4.749 14
Tail power law exponent γt =2.571 00
Tail power law exponent with p γ3 =2.571 00
p-value p =0.000 00
Left tail power law exponent with p γ3,1 =1.811 00
Left p-value p1 =0.752 000
Right tail power law exponent with p γ3,2 =2.971 00
Right p-value p2 =0.000 00
Degree assortativity ρ =−0.177 514
Degree assortativity p-value pρ =1.271 60 × 10−10
Spectral norm α =293.729
Algebraic connectivity a =0.006 555 60
Spectral separation 1[A] / λ2[A]| =2.267 29
Controllability C =824
Relative controllability Cr =0.695 946

Plots

Fruchterman–Reingold graph drawing

Degree distribution

Cumulative degree distribution

Lorenz curve

Spectral distribution of the adjacency matrix

Spectral distribution of the normalized adjacency matrix

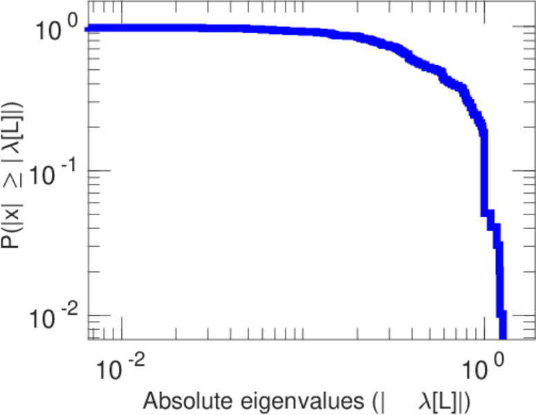
Spectral distribution of the Laplacian

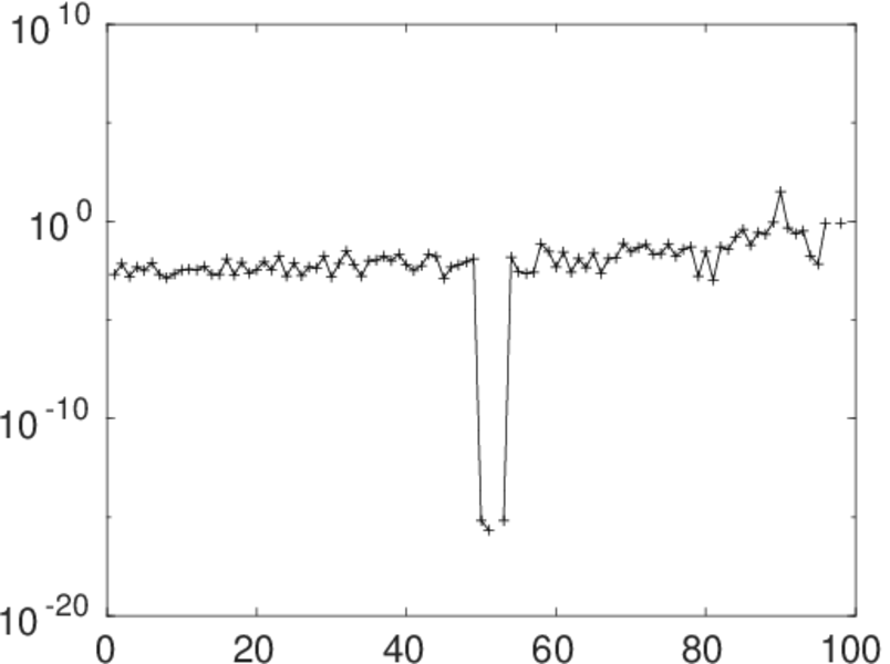
Spectral graph drawing based on the adjacency matrix

Spectral graph drawing based on the Laplacian

Spectral graph drawing based on the normalized adjacency matrix

Degree assortativity

Zipf plot

Hop distribution

Double Laplacian graph drawing

Delaunay graph drawing

Edge weight/multiplicity distribution

Temporal distribution

Temporal hop distribution

Diameter/density evolution

Matrix decompositions plots

Downloads

References

[1] Jérôme Kunegis. KONECT – The Koblenz Network Collection. In Proc. Int. Conf. on World Wide Web Companion, pages 1343–1350, 2013. [ http ]
[2] Wikimedia Foundation. Wikimedia downloads. http://dumps.wikimedia.org/, January 2010.