Wikiquote edits (fi)

This is the bipartite edit network of the Finnish Wikiquote. It contains users and pages from the Finnish Wikiquote, connected by edit events. Each edge represents an edit. The dataset includes the timestamp of each edit.

Metadata

Codeqfi
Internal nameedit-fiwikiquote
NameWikiquote edits (fi)
Data sourcehttp://dumps.wikimedia.org/
AvailabilityDataset is available for download
Consistency checkDataset passed all tests
Category
Authorship network
Dataset timestamp 2017-10-20
Node meaningUser, article
Edge meaningEdit
Network formatBipartite, undirected
Edge typeUnweighted, multiple edges
Temporal data Edges are annotated with timestamps

Statistics

Size n =6,780
Left size n1 =1,115
Right size n2 =5,665
Volume m =45,194
Unique edge count m̿ =23,338
Wedge count s =6,568,329
Claw count z =2,982,999,050
Cross count x =1,443,369,958,247
Square count q =4,648,659
4-Tour count T4 =63,519,760
Maximum degree dmax =8,146
Maximum left degree d1max =8,146
Maximum right degree d2max =750
Average degree d =13.331 6
Average left degree d1 =40.532 7
Average right degree d2 =7.977 76
Fill p =0.003 694 78
Average edge multiplicity m̃ =1.936 50
Size of LCC N =6,544
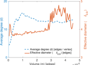
Diameter δ =12
50-Percentile effective diameter δ0.5 =3.352 99
90-Percentile effective diameter δ0.9 =4.808 84
Median distance δM =4
Mean distance δm =3.751 74
Gini coefficient G =0.795 667
Balanced inequality ratio P =0.179 493
Left balanced inequality ratio P1 =0.106 895
Right balanced inequality ratio P2 =0.246 670
Relative edge distribution entropy Her =0.800 165
Power law exponent γ =2.134 38
Tail power law exponent γt =2.061 00
Tail power law exponent with p γ3 =2.061 00
p-value p =0.000 00
Left tail power law exponent with p γ3,1 =1.661 00
Left p-value p1 =0.009 000 00
Right tail power law exponent with p γ3,2 =2.271 00
Right p-value p2 =0.000 00
Degree assortativity ρ =−0.288 420
Degree assortativity p-value pρ =0.000 00
Spectral norm α =656.206
Algebraic connectivity a =0.023 115 2
Spectral separation 1[A] / λ2[A]| =1.219 82
Controllability C =4,974
Relative controllability Cr =0.739 628

Plots

Fruchterman–Reingold graph drawing

Degree distribution

Cumulative degree distribution

Lorenz curve

Spectral distribution of the adjacency matrix

Spectral distribution of the normalized adjacency matrix

Spectral distribution of the Laplacian

Spectral graph drawing based on the adjacency matrix

Spectral graph drawing based on the Laplacian

Spectral graph drawing based on the normalized adjacency matrix

Degree assortativity

Zipf plot

Hop distribution

Double Laplacian graph drawing

Delaunay graph drawing

Edge weight/multiplicity distribution

Temporal distribution

Temporal hop distribution

Diameter/density evolution

Matrix decompositions plots

Downloads

References

[1] Jérôme Kunegis. KONECT – The Koblenz Network Collection. In Proc. Int. Conf. on World Wide Web Companion, pages 1343–1350, 2013. [ http ]
[2] Wikimedia Foundation. Wikimedia downloads. http://dumps.wikimedia.org/, January 2010.