Wikiversity edits (fi)

This is the bipartite edit network of the Finnish Wikiversity. It contains users and pages from the Finnish Wikiversity, connected by edit events. Each edge represents an edit. The dataset includes the timestamp of each edit.

Metadata

Codeyfi
Internal nameedit-fiwikiversity
NameWikiversity edits (fi)
Data sourcehttp://dumps.wikimedia.org/
AvailabilityDataset is available for download
Consistency checkDataset passed all tests
Category
Authorship network
Dataset timestamp 2017-10-20
Node meaningUser, article
Edge meaningEdit
Network formatBipartite, undirected
Edge typeUnweighted, multiple edges
Temporal data Edges are annotated with timestamps

Statistics

Size n =4,396
Left size n1 =1,324
Right size n2 =3,072
Volume m =31,157
Unique edge count m̿ =6,844
Wedge count s =175,984
Claw count z =6,830,790
Cross count x =264,700,624
Square count q =42,943
4-Tour count T4 =1,062,032
Maximum degree dmax =1,136
Maximum left degree d1max =1,136
Maximum right degree d2max =505
Average degree d =14.175 2
Average left degree d1 =23.532 5
Average right degree d2 =10.142 3
Fill p =0.001 682 68
Average edge multiplicity m̃ =4.552 45
Size of LCC N =3,732
Diameter δ =17
50-Percentile effective diameter δ0.5 =5.452 53
90-Percentile effective diameter δ0.9 =7.681 38
Median distance δM =6
Mean distance δm =5.997 39
Gini coefficient G =0.696 457
Balanced inequality ratio P =0.230 975
Left balanced inequality ratio P1 =0.220 753
Right balanced inequality ratio P2 =0.214 109
Relative edge distribution entropy Her =0.900 464
Power law exponent γ =2.515 24
Tail power law exponent γt =2.451 00
Tail power law exponent with p γ3 =2.451 00
p-value p =0.110 000
Left tail power law exponent with p γ3,1 =2.331 00
Left p-value p1 =0.046 000 0
Right tail power law exponent with p γ3,2 =2.581 00
Right p-value p2 =0.000 00
Degree assortativity ρ =−0.236 808
Degree assortativity p-value pρ =7.336 63 × 10−88
Spectral norm α =529.576
Algebraic connectivity a =0.011 452 8
Spectral separation 1[A] / λ2[A]| =2.555 67
Controllability C =2,117
Relative controllability Cr =0.511 723

Plots

Fruchterman–Reingold graph drawing

Degree distribution

Cumulative degree distribution

Lorenz curve

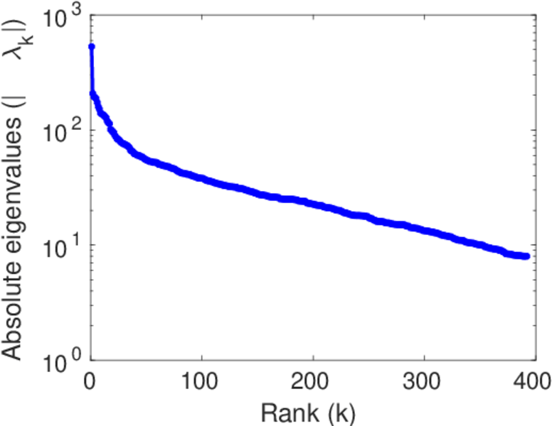
Spectral distribution of the adjacency matrix

Spectral distribution of the normalized adjacency matrix

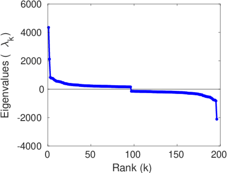
Spectral distribution of the Laplacian

Spectral graph drawing based on the adjacency matrix

Spectral graph drawing based on the Laplacian

Spectral graph drawing based on the normalized adjacency matrix

Degree assortativity

Zipf plot

Hop distribution

Double Laplacian graph drawing

Delaunay graph drawing

Edge weight/multiplicity distribution

Temporal distribution

Temporal hop distribution

Diameter/density evolution

Matrix decompositions plots

Downloads

References

[1] Jérôme Kunegis. KONECT – The Koblenz Network Collection. In Proc. Int. Conf. on World Wide Web Companion, pages 1343–1350, 2013. [ http ]
[2] Wikimedia Foundation. Wikimedia downloads. http://dumps.wikimedia.org/, January 2010.