Wiktionary edits (fo)

This is the bipartite edit network of the Faroese Wiktionary. It contains users and pages from the Faroese Wiktionary, connected by edit events. Each edge represents an edit. The dataset includes the timestamp of each edit.

Metadata

Codemfo
Internal nameedit-fowiktionary
NameWiktionary edits (fo)
Data sourcehttp://dumps.wikimedia.org/
AvailabilityDataset is available for download
Consistency checkDataset passed all tests
Category
Authorship network
Dataset timestamp 2017-10-20
Node meaningUser, article
Edge meaningEdit
Network formatBipartite, undirected
Edge typeUnweighted, multiple edges
Temporal data Edges are annotated with timestamps

Statistics

Size n =2,064
Left size n1 =244
Right size n2 =1,820
Volume m =13,575
Unique edge count m̿ =6,570
Wedge count s =1,212,436
Claw count z =218,982,894
Cross count x =35,960,039,702
Square count q =1,522,280
4-Tour count T4 =17,045,484
Maximum degree dmax =3,233
Maximum left degree d1max =3,233
Maximum right degree d2max =120
Average degree d =13.154 1
Average left degree d1 =55.635 2
Average right degree d2 =7.458 79
Fill p =0.014 794 6
Average edge multiplicity m̃ =2.066 21
Size of LCC N =1,763
Diameter δ =13
50-Percentile effective diameter δ0.5 =3.250 96
90-Percentile effective diameter δ0.9 =5.771 54
Median distance δM =4
Mean distance δm =3.804 73
Gini coefficient G =0.771 890
Balanced inequality ratio P =0.197 090
Left balanced inequality ratio P1 =0.082 651 9
Right balanced inequality ratio P2 =0.260 331
Relative edge distribution entropy Her =0.785 390
Power law exponent γ =2.048 50
Tail power law exponent γt =2.511 00
Tail power law exponent with p γ3 =2.511 00
p-value p =0.000 00
Left tail power law exponent with p γ3,1 =1.631 00
Left p-value p1 =0.032 000 0
Right tail power law exponent with p γ3,2 =8.991 00
Right p-value p2 =0.238 000
Degree assortativity ρ =−0.042 382 8
Degree assortativity p-value pρ =0.000 589 824
Spectral norm α =205.534
Algebraic connectivity a =0.019 956 5
Spectral separation 1[A] / λ2[A]| =1.922 42
Controllability C =1,510
Relative controllability Cr =0.764 944

Plots

Fruchterman–Reingold graph drawing

Degree distribution

Cumulative degree distribution

Lorenz curve

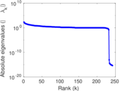
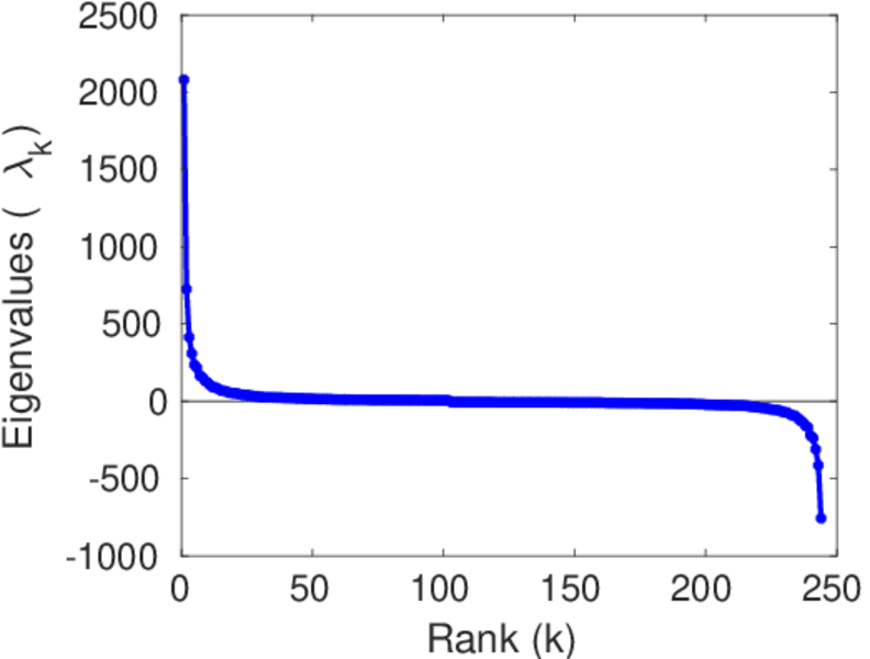
Spectral distribution of the adjacency matrix

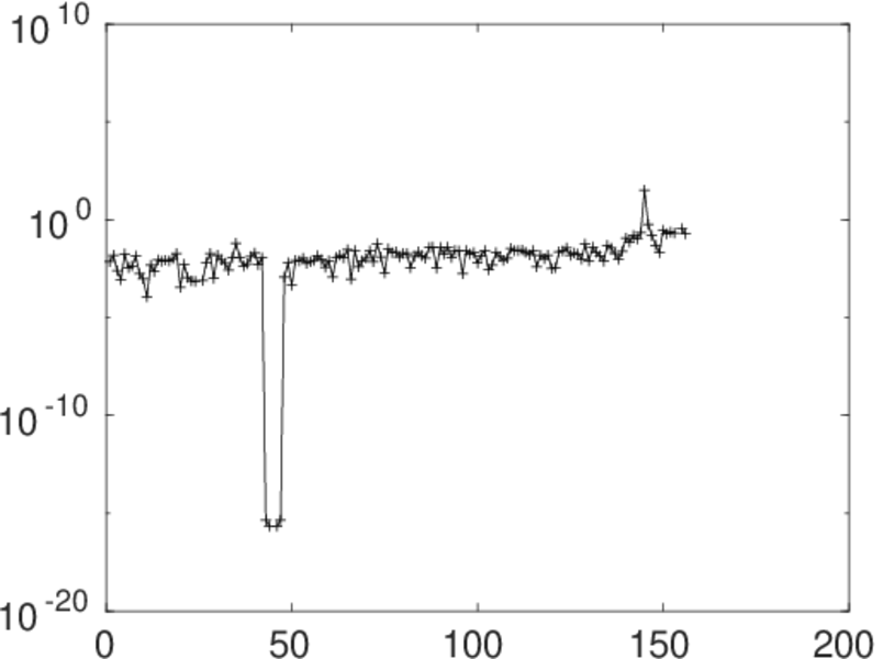
Spectral distribution of the normalized adjacency matrix

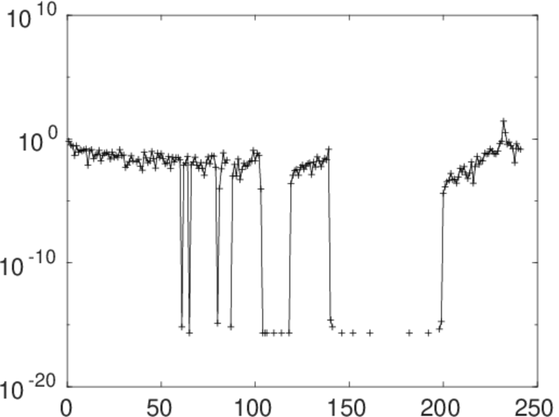
Spectral distribution of the Laplacian

Spectral graph drawing based on the adjacency matrix

Spectral graph drawing based on the Laplacian

Spectral graph drawing based on the normalized adjacency matrix

Degree assortativity

Zipf plot

Hop distribution

Double Laplacian graph drawing

Delaunay graph drawing

Edge weight/multiplicity distribution

Temporal distribution

Temporal hop distribution

Diameter/density evolution

Matrix decompositions plots

Downloads

References

[1] Jérôme Kunegis. KONECT – The Koblenz Network Collection. In Proc. Int. Conf. on World Wide Web Companion, pages 1343–1350, 2013. [ http ]
[2] Wikimedia Foundation. Wikimedia downloads. http://dumps.wikimedia.org/, January 2010.