Wiktionary edits (ga)

This is the bipartite edit network of the Irish Wiktionary. It contains users and pages from the Irish Wiktionary, connected by edit events. Each edge represents an edit. The dataset includes the timestamp of each edit.

Metadata

Codemga
Internal nameedit-gawiktionary
NameWiktionary edits (ga)
Data sourcehttp://dumps.wikimedia.org/
AvailabilityDataset is available for download
Consistency checkDataset passed all tests
Category
Authorship network
Dataset timestamp 2017-10-20
Node meaningUser, article
Edge meaningEdit
Network formatBipartite, undirected
Edge typeUnweighted, multiple edges
Temporal data Edges are annotated with timestamps

Statistics

Size n =6,005
Left size n1 =392
Right size n2 =5,613
Volume m =48,361
Unique edge count m̿ =23,134
Wedge count s =14,218,602
Claw count z =8,545,478,473
Cross count x =4,501,431,785,639
Square count q =17,888,007
4-Tour count T4 =200,025,036
Maximum degree dmax =7,699
Maximum left degree d1max =7,699
Maximum right degree d2max =207
Average degree d =16.106 9
Average left degree d1 =123.370
Average right degree d2 =8.615 89
Fill p =0.010 514 0
Average edge multiplicity m̃ =2.090 47
Size of LCC N =5,701
Diameter δ =13
50-Percentile effective diameter δ0.5 =3.144 73
90-Percentile effective diameter δ0.9 =3.979 12
Median distance δM =4
Mean distance δm =3.348 86
Gini coefficient G =0.772 957
Balanced inequality ratio P =0.201 681
Left balanced inequality ratio P1 =0.058 290 8
Right balanced inequality ratio P2 =0.278 117
Relative edge distribution entropy Her =0.751 330
Power law exponent γ =1.997 43
Tail power law exponent γt =2.931 00
Tail power law exponent with p γ3 =2.931 00
p-value p =0.000 00
Left tail power law exponent with p γ3,1 =1.611 00
Left p-value p1 =0.000 00
Right tail power law exponent with p γ3,2 =7.381 00
Right p-value p2 =0.626 000
Degree assortativity ρ =−0.184 868
Degree assortativity p-value pρ =6.036 29 × 10−177
Spectral norm α =321.925
Algebraic connectivity a =0.006 441 09
Spectral separation 1[A] / λ2[A]| =1.249 29
Controllability C =5,248
Relative controllability Cr =0.877 886

Plots

Fruchterman–Reingold graph drawing

Degree distribution

Cumulative degree distribution

Lorenz curve

Spectral distribution of the adjacency matrix

Spectral distribution of the normalized adjacency matrix

Spectral distribution of the Laplacian

Spectral graph drawing based on the adjacency matrix

Spectral graph drawing based on the Laplacian

Spectral graph drawing based on the normalized adjacency matrix

Degree assortativity

Zipf plot

Hop distribution

Double Laplacian graph drawing

Delaunay graph drawing

Edge weight/multiplicity distribution

Temporal distribution

Temporal hop distribution

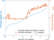
Diameter/density evolution

Matrix decompositions plots

Downloads

References

[1] Jérôme Kunegis. KONECT – The Koblenz Network Collection. In Proc. Int. Conf. on World Wide Web Companion, pages 1343–1350, 2013. [ http ]
[2] Wikimedia Foundation. Wikimedia downloads. http://dumps.wikimedia.org/, January 2010.