Wiktionary edits (gd)

This is the bipartite edit network of the Scottish Gaelic Wiktionary. It contains users and pages from the Scottish Gaelic Wiktionary, connected by edit events. Each edge represents an edit. The dataset includes the timestamp of each edit.

Metadata

Codemgd
Internal nameedit-gdwiktionary
NameWiktionary edits (gd)
Data sourcehttp://dumps.wikimedia.org/
AvailabilityDataset is available for download
Consistency checkDataset passed all tests
Category
Authorship network
Dataset timestamp 2017-10-20
Node meaningUser, article
Edge meaningEdit
Network formatBipartite, undirected
Edge typeUnweighted, multiple edges
Temporal data Edges are annotated with timestamps

Statistics

Size n =4,377
Left size n1 =235
Right size n2 =4,142
Volume m =21,686
Unique edge count m̿ =10,349
Wedge count s =6,861,392
Claw count z =4,452,849,151
Cross count x =2,456,002,817,692
Square count q =2,979,460
4-Tour count T4 =51,302,090
Maximum degree dmax =6,602
Maximum left degree d1max =6,602
Maximum right degree d2max =163
Average degree d =9.909 07
Average left degree d1 =92.280 9
Average right degree d2 =5.235 63
Fill p =0.010 632 1
Average edge multiplicity m̃ =2.095 47
Size of LCC N =4,174
Diameter δ =13
50-Percentile effective diameter δ0.5 =1.954 85
90-Percentile effective diameter δ0.9 =3.958 74
Median distance δM =2
Mean distance δm =3.101 45
Gini coefficient G =0.733 059
Balanced inequality ratio P =0.226 344
Left balanced inequality ratio P1 =0.065 987 3
Right balanced inequality ratio P2 =0.319 100
Relative edge distribution entropy Her =0.724 839
Power law exponent γ =2.446 49
Tail power law exponent γt =1.631 00
Tail power law exponent with p γ3 =1.631 00
p-value p =0.163 000
Left tail power law exponent with p γ3,1 =1.621 00
Left p-value p1 =0.011 000 0
Right tail power law exponent with p γ3,2 =3.961 00
Right p-value p2 =0.000 00
Degree assortativity ρ =−0.364 783
Degree assortativity p-value pρ =3.952 53 × 10−323
Spectral norm α =230.986
Algebraic connectivity a =0.037 280 8
Spectral separation 1[A] / λ2[A]| =1.434 64
Controllability C =3,910
Relative controllability Cr =0.897 612

Plots

Fruchterman–Reingold graph drawing

Degree distribution

Cumulative degree distribution

Lorenz curve

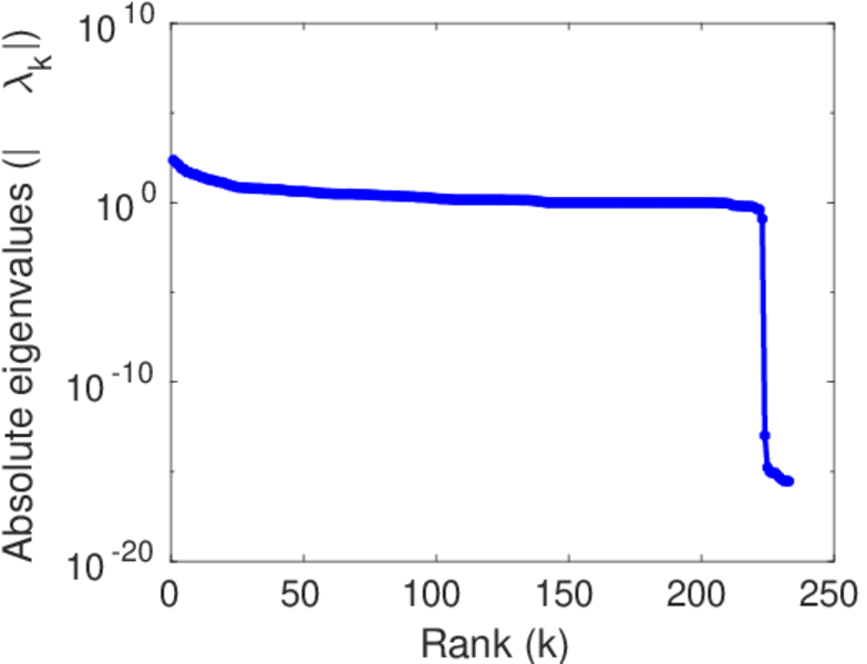
Spectral distribution of the adjacency matrix

Spectral distribution of the normalized adjacency matrix

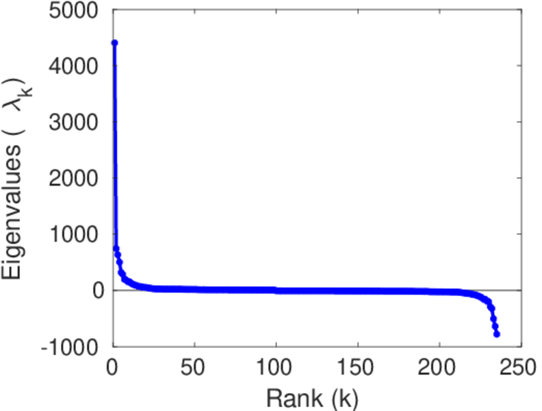
Spectral distribution of the Laplacian

Spectral graph drawing based on the adjacency matrix

Spectral graph drawing based on the Laplacian

Spectral graph drawing based on the normalized adjacency matrix

Degree assortativity

Zipf plot

Hop distribution

Double Laplacian graph drawing

Delaunay graph drawing

Edge weight/multiplicity distribution

Temporal distribution

Temporal hop distribution

Diameter/density evolution

Matrix decompositions plots

Downloads

References

[1] Jérôme Kunegis. KONECT – The Koblenz Network Collection. In Proc. Int. Conf. on World Wide Web Companion, pages 1343–1350, 2013. [ http ]
[2] Wikimedia Foundation. Wikimedia downloads. http://dumps.wikimedia.org/, January 2010.