Wiktionary edits (hsb)

This is the bipartite edit network of the Upper Sorbian Wiktionary. It contains users and pages from the Upper Sorbian Wiktionary, connected by edit events. Each edge represents an edit. The dataset includes the timestamp of each edit.

Metadata

Codemhsb
Internal nameedit-hsbwiktionary
NameWiktionary edits (hsb)
Data sourcehttp://dumps.wikimedia.org/
AvailabilityDataset is available for download
Consistency checkDataset passed all tests
Category
Authorship network
Dataset timestamp 2017-10-20
Node meaningUser, article
Edge meaningEdit
Network formatBipartite, undirected
Edge typeUnweighted, multiple edges
Temporal data Edges are annotated with timestamps

Statistics

Size n =5,591
Left size n1 =230
Right size n2 =5,361
Volume m =15,161
Unique edge count m̿ =9,573
Wedge count s =7,357,334
Claw count z =7,184,717,300
Cross count x =5,959,008,992,645
Square count q =974,841
4-Tour count T4 =37,248,574
Maximum degree dmax =3,639
Maximum left degree d1max =3,639
Maximum right degree d2max =53
Average degree d =5.423 36
Average left degree d1 =65.917 4
Average right degree d2 =2.828 02
Fill p =0.007 763 80
Average edge multiplicity m̃ =1.583 73
Size of LCC N =5,353
Diameter δ =14
50-Percentile effective diameter δ0.5 =3.052 72
90-Percentile effective diameter δ0.9 =3.957 39
Median distance δM =4
Mean distance δm =3.229 18
Gini coefficient G =0.761 474
Balanced inequality ratio P =0.192 072
Left balanced inequality ratio P1 =0.074 137 6
Right balanced inequality ratio P2 =0.279 863
Relative edge distribution entropy Her =0.719 303
Power law exponent γ =3.626 20
Tail power law exponent γt =2.281 00
Tail power law exponent with p γ3 =2.281 00
p-value p =0.000 00
Left tail power law exponent with p γ3,1 =1.641 00
Left p-value p1 =0.006 000 00
Right tail power law exponent with p γ3,2 =6.611 00
Right p-value p2 =0.439 000
Degree assortativity ρ =−0.433 192
Degree assortativity p-value pρ =0.000 00
Spectral norm α =187.634
Algebraic connectivity a =0.011 087 1
Spectral separation 1[A] / λ2[A]| =2.017 59
Controllability C =5,123
Relative controllability Cr =0.921 569

Plots

Fruchterman–Reingold graph drawing

Degree distribution

Cumulative degree distribution

Lorenz curve

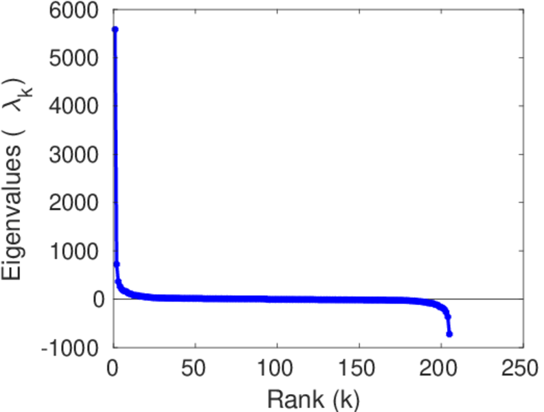
Spectral distribution of the adjacency matrix

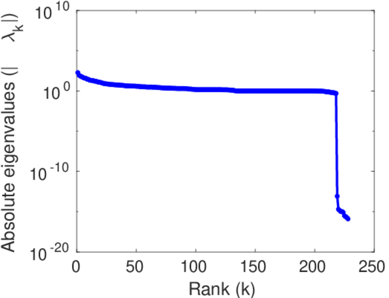
Spectral distribution of the normalized adjacency matrix

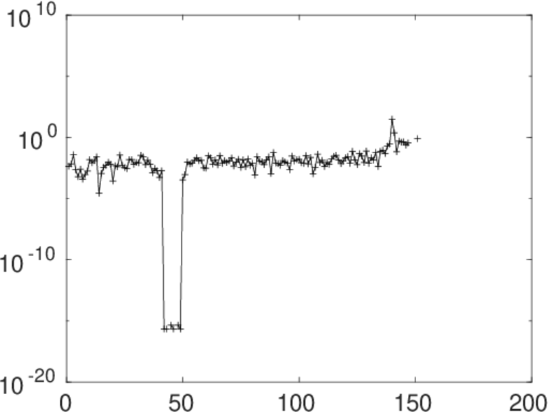
Spectral distribution of the Laplacian

Spectral graph drawing based on the adjacency matrix

Spectral graph drawing based on the Laplacian

Spectral graph drawing based on the normalized adjacency matrix

Degree assortativity

Zipf plot

Hop distribution

Double Laplacian graph drawing

Delaunay graph drawing

Edge weight/multiplicity distribution

Temporal distribution

Temporal hop distribution

Diameter/density evolution

Matrix decompositions plots

Downloads

References

[1] Jérôme Kunegis. KONECT – The Koblenz Network Collection. In Proc. Int. Conf. on World Wide Web Companion, pages 1343–1350, 2013. [ http ]
[2] Wikimedia Foundation. Wikimedia downloads. http://dumps.wikimedia.org/, January 2010.