Wikibooks edits (hy)

This is the bipartite edit network of the Armenian Wikibooks. It contains users and pages from the Armenian Wikibooks, connected by edit events. Each edge represents an edit. The dataset includes the timestamp of each edit.

Metadata

Codebhy
Internal nameedit-hywikibooks
NameWikibooks edits (hy)
Data sourcehttp://dumps.wikimedia.org/
AvailabilityDataset is available for download
Consistency checkDataset passed all tests
Category
Authorship network
Dataset timestamp 2017-10-20
Node meaningUser, article
Edge meaningEdit
Network formatBipartite, undirected
Edge typeUnweighted, multiple edges
Temporal data Edges are annotated with timestamps

Statistics

Size n =1,956
Left size n1 =242
Right size n2 =1,714
Volume m =4,927
Unique edge count m̿ =2,379
Wedge count s =333,359
Claw count z =59,977,339
Cross count x =9,407,216,590
Square count q =28,617
4-Tour count T4 =1,569,154
Maximum degree dmax =1,760
Maximum left degree d1max =1,760
Maximum right degree d2max =211
Average degree d =5.037 83
Average left degree d1 =20.359 5
Average right degree d2 =2.874 56
Fill p =0.005 735 46
Average edge multiplicity m̃ =2.071 04
Size of LCC N =1,611
Diameter δ =11
50-Percentile effective diameter δ0.5 =3.396 55
90-Percentile effective diameter δ0.9 =5.623 83
Median distance δM =4
Mean distance δm =3.903 12
Gini coefficient G =0.720 995
Balanced inequality ratio P =0.223 260
Left balanced inequality ratio P1 =0.102 091
Right balanced inequality ratio P2 =0.318 246
Relative edge distribution entropy Her =0.786 729
Power law exponent γ =4.320 88
Tail power law exponent γt =2.461 00
Tail power law exponent with p γ3 =2.461 00
p-value p =0.000 00
Left tail power law exponent with p γ3,1 =1.881 00
Left p-value p1 =0.025 000 0
Right tail power law exponent with p γ3,2 =4.821 00
Right p-value p2 =0.013 000 0
Degree assortativity ρ =−0.184 337
Degree assortativity p-value pρ =1.256 25 × 10−19
Spectral norm α =210.003
Algebraic connectivity a =0.019 135 3
Spectral separation 1[A] / λ2[A]| =1.894 50
Controllability C =1,487
Relative controllability Cr =0.769 271

Plots

Fruchterman–Reingold graph drawing

Degree distribution

Cumulative degree distribution

Lorenz curve

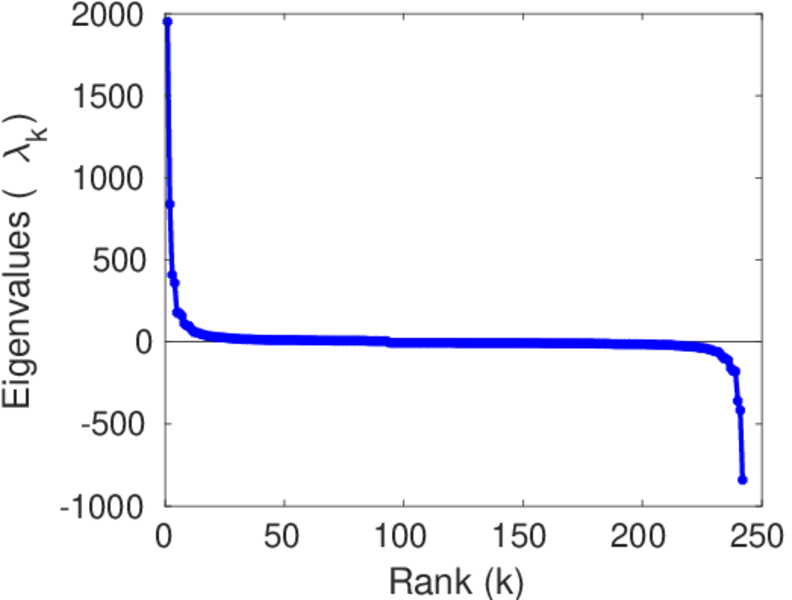
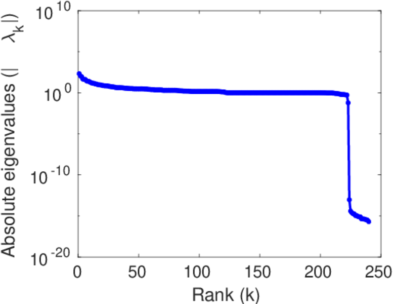
Spectral distribution of the adjacency matrix

Spectral distribution of the normalized adjacency matrix

Spectral distribution of the Laplacian

Spectral graph drawing based on the adjacency matrix

Spectral graph drawing based on the Laplacian

Spectral graph drawing based on the normalized adjacency matrix

Degree assortativity

Zipf plot

Hop distribution

Double Laplacian graph drawing

Delaunay graph drawing

Edge weight/multiplicity distribution

Temporal distribution

Temporal hop distribution

Diameter/density evolution

Matrix decompositions plots

Downloads

References

[1] Jérôme Kunegis. KONECT – The Koblenz Network Collection. In Proc. Int. Conf. on World Wide Web Companion, pages 1343–1350, 2013. [ http ]
[2] Wikimedia Foundation. Wikimedia downloads. http://dumps.wikimedia.org/, January 2010.