Wiktionary edits (ie)

This is the bipartite edit network of the Interlingue Wiktionary. It contains users and pages from the Interlingue Wiktionary, connected by edit events. Each edge represents an edit. The dataset includes the timestamp of each edit.

Metadata

Codemie
Internal nameedit-iewiktionary
NameWiktionary edits (ie)
Data sourcehttp://dumps.wikimedia.org/
AvailabilityDataset is available for download
Consistency checkDataset passed all tests
Category
Authorship network
Dataset timestamp 2017-10-20
Node meaningUser, article
Edge meaningEdit
Network formatBipartite, undirected
Edge typeUnweighted, multiple edges
Temporal data Edges are annotated with timestamps

Statistics

Size n =2,379
Left size n1 =211
Right size n2 =2,168
Volume m =8,719
Unique edge count m̿ =5,255
Wedge count s =1,392,268
Claw count z =357,024,875
Cross count x =75,452,054,622
Square count q =1,038,608
4-Tour count T4 =13,889,734
Maximum degree dmax =1,931
Maximum left degree d1max =1,931
Maximum right degree d2max =83
Average degree d =7.329 97
Average left degree d1 =41.322 3
Average right degree d2 =4.021 68
Fill p =0.011 487 6
Average edge multiplicity m̃ =1.659 18
Size of LCC N =2,131
Diameter δ =15
50-Percentile effective diameter δ0.5 =3.488 32
90-Percentile effective diameter δ0.9 =5.905 63
Median distance δM =4
Mean distance δm =4.116 87
Gini coefficient G =0.740 440
Balanced inequality ratio P =0.219 119
Left balanced inequality ratio P1 =0.089 001 0
Right balanced inequality ratio P2 =0.305 081
Relative edge distribution entropy Her =0.758 186
Power law exponent γ =2.467 33
Tail power law exponent γt =2.901 00
Tail power law exponent with p γ3 =2.901 00
p-value p =0.000 00
Left tail power law exponent with p γ3,1 =1.651 00
Left p-value p1 =0.078 000 0
Right tail power law exponent with p γ3,2 =8.701 00
Right p-value p2 =0.891 000
Degree assortativity ρ =−0.152 984
Degree assortativity p-value pρ =6.916 49 × 10−29
Spectral norm α =135.828
Algebraic connectivity a =0.012 308 8
Spectral separation 1[A] / λ2[A]| =1.457 70
Controllability C =1,971
Relative controllability Cr =0.835 524

Plots

Fruchterman–Reingold graph drawing

Degree distribution

Cumulative degree distribution

Lorenz curve

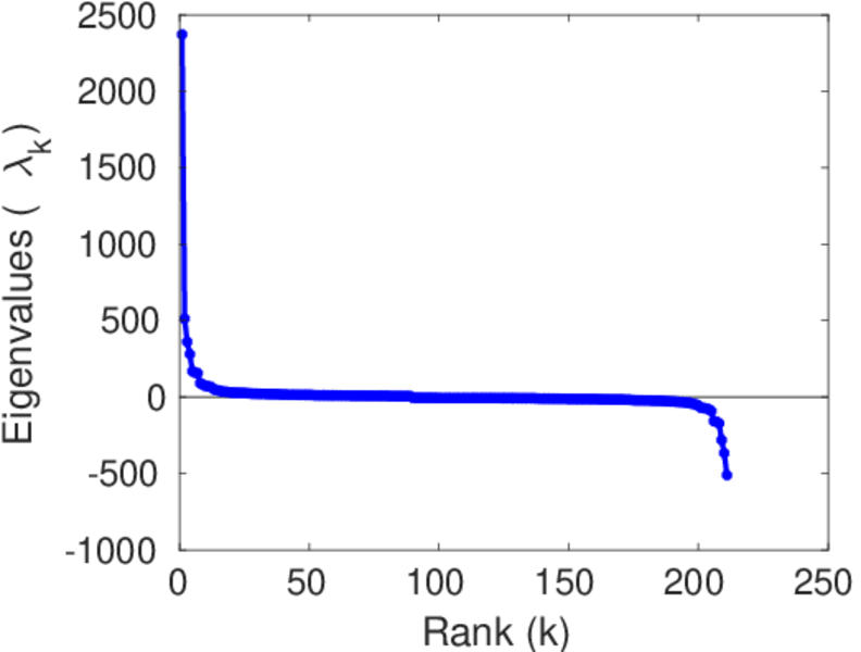
Spectral distribution of the adjacency matrix

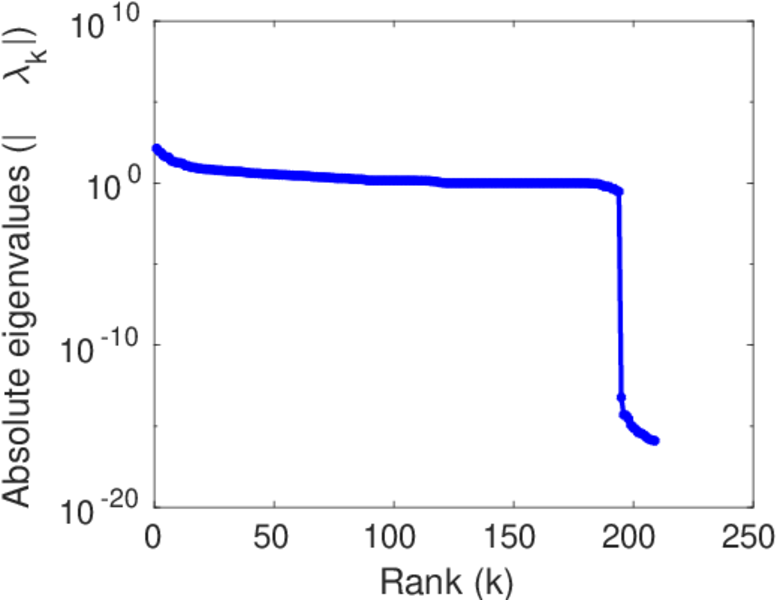
Spectral distribution of the normalized adjacency matrix

Spectral distribution of the Laplacian

Spectral graph drawing based on the adjacency matrix

Spectral graph drawing based on the Laplacian

Spectral graph drawing based on the normalized adjacency matrix

Degree assortativity

Zipf plot

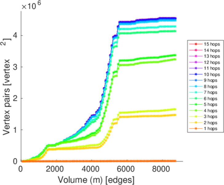
Hop distribution

Double Laplacian graph drawing

Delaunay graph drawing

Edge weight/multiplicity distribution

Temporal distribution

Temporal hop distribution

Diameter/density evolution

Matrix decompositions plots

Downloads

References

[1] Jérôme Kunegis. KONECT – The Koblenz Network Collection. In Proc. Int. Conf. on World Wide Web Companion, pages 1343–1350, 2013. [ http ]
[2] Wikimedia Foundation. Wikimedia downloads. http://dumps.wikimedia.org/, January 2010.