Wikipedia edits (ii)

This is the bipartite edit network of the Sichuan Yi Wikipedia. It contains users and pages from the Sichuan Yi Wikipedia, connected by edit events. Each edge represents an edit. The dataset includes the timestamp of each edit.

Metadata

Codeii
Internal nameedit-iiwiki
NameWikipedia edits (ii)
Data sourcehttp://dumps.wikimedia.org/
AvailabilityDataset is available for download
Consistency checkDataset passed all tests
Category
Authorship network
Dataset timestamp 2017-10-20
Node meaningUser, article
Edge meaningEdit
Network formatBipartite, undirected
Edge typeUnweighted, multiple edges
Temporal data Edges are annotated with timestamps

Statistics

Size n =251
Left size n1 =62
Right size n2 =189
Volume m =616
Unique edge count m̿ =318
Wedge count s =4,550
Claw count z =68,017
Cross count x =826,041
Square count q =1,323
4-Tour count T4 =29,864
Maximum degree dmax =209
Maximum left degree d1max =209
Maximum right degree d2max =59
Average degree d =4.908 37
Average left degree d1 =9.935 48
Average right degree d2 =3.259 26
Fill p =0.027 137 7
Average edge multiplicity m̃ =1.937 11
Size of LCC N =176
Diameter δ =12
50-Percentile effective diameter δ0.5 =3.370 60
90-Percentile effective diameter δ0.9 =5.733 35
Median distance δM =4
Mean distance δm =3.941 75
Gini coefficient G =0.666 841
Balanced inequality ratio P =0.245 130
Left balanced inequality ratio P1 =0.168 831
Right balanced inequality ratio P2 =0.332 792
Relative edge distribution entropy Her =0.867 939
Power law exponent γ =2.898 86
Tail power law exponent γt =2.281 00
Tail power law exponent with p γ3 =2.281 00
p-value p =0.136 000
Left tail power law exponent with p γ3,1 =1.821 00
Left p-value p1 =0.121 000
Right tail power law exponent with p γ3,2 =5.091 00
Right p-value p2 =0.774 000
Degree assortativity ρ =+0.014 971 7
Degree assortativity p-value pρ =0.790 280
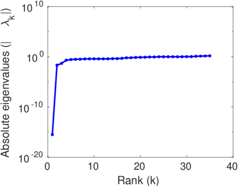
Spectral norm α =71.526 8
Algebraic connectivity a =0.020 382 1
Spectral separation 1[A] / λ2[A]| =3.902 75
Controllability C =126
Relative controllability Cr =0.508 065

Plots

Fruchterman–Reingold graph drawing

Degree distribution

Cumulative degree distribution

Lorenz curve

Spectral distribution of the adjacency matrix

Spectral distribution of the normalized adjacency matrix

Spectral distribution of the Laplacian

Spectral graph drawing based on the adjacency matrix

Spectral graph drawing based on the Laplacian

Spectral graph drawing based on the normalized adjacency matrix

Degree assortativity

Zipf plot

Hop distribution

Double Laplacian graph drawing

Delaunay graph drawing

Edge weight/multiplicity distribution

Temporal distribution

Temporal hop distribution

Diameter/density evolution

Matrix decompositions plots

Downloads

References

[1] Jérôme Kunegis. KONECT – The Koblenz Network Collection. In Proc. Int. Conf. on World Wide Web Companion, pages 1343–1350, 2013. [ http ]
[2] Wikimedia Foundation. Wikimedia downloads. http://dumps.wikimedia.org/, January 2010.