Wikiquote edits (is)

This is the bipartite edit network of the Icelandic Wikiquote. It contains users and pages from the Icelandic Wikiquote, connected by edit events. Each edge represents an edit. The dataset includes the timestamp of each edit.

Metadata

Codeqis
Internal nameedit-iswikiquote
NameWikiquote edits (is)
Data sourcehttp://dumps.wikimedia.org/
AvailabilityDataset is available for download
Consistency checkDataset passed all tests
Category
Authorship network
Dataset timestamp 2017-10-20
Node meaningUser, article
Edge meaningEdit
Network formatBipartite, undirected
Edge typeUnweighted, multiple edges
Temporal data Edges are annotated with timestamps

Statistics

Size n =1,490
Left size n1 =230
Right size n2 =1,260
Volume m =5,743
Unique edge count m̿ =2,791
Wedge count s =269,410
Claw count z =37,287,980
Cross count x =4,823,121,904
Square count q =81,413
4-Tour count T4 =1,739,406
Maximum degree dmax =1,374
Maximum left degree d1max =1,374
Maximum right degree d2max =602
Average degree d =7.708 72
Average left degree d1 =24.969 6
Average right degree d2 =4.557 94
Fill p =0.009 630 78
Average edge multiplicity m̃ =2.057 69
Size of LCC N =1,263
Diameter δ =13
50-Percentile effective diameter δ0.5 =3.403 26
90-Percentile effective diameter δ0.9 =5.652 44
Median distance δM =4
Mean distance δm =3.949 46
Gini coefficient G =0.787 361
Balanced inequality ratio P =0.183 963
Left balanced inequality ratio P1 =0.114 748
Right balanced inequality ratio P2 =0.242 034
Relative edge distribution entropy Her =0.808 042
Power law exponent γ =2.761 60
Tail power law exponent γt =2.001 00
Tail power law exponent with p γ3 =2.001 00
p-value p =0.000 00
Left tail power law exponent with p γ3,1 =1.691 00
Left p-value p1 =0.355 000
Right tail power law exponent with p γ3,2 =8.301 00
Right p-value p2 =0.776 000
Degree assortativity ρ =−0.223 480
Degree assortativity p-value pρ =6.290 15 × 10−33
Spectral norm α =609.609
Algebraic connectivity a =0.033 716 0
Spectral separation 1[A] / λ2[A]| =5.391 08
Controllability C =1,025
Relative controllability Cr =0.699 659

Plots

Fruchterman–Reingold graph drawing

Degree distribution

Cumulative degree distribution

Lorenz curve

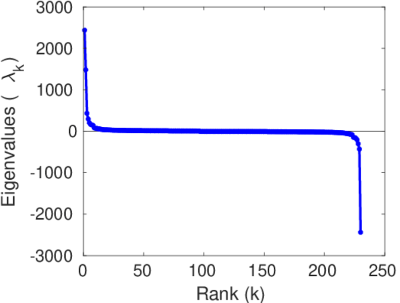
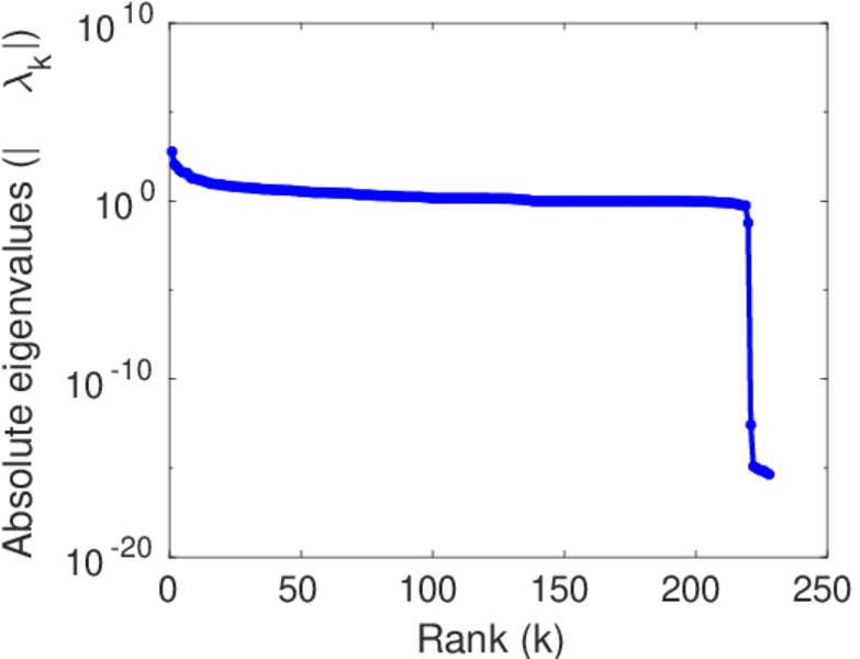
Spectral distribution of the adjacency matrix

Spectral distribution of the normalized adjacency matrix

Spectral distribution of the Laplacian

Spectral graph drawing based on the adjacency matrix

Spectral graph drawing based on the Laplacian

Spectral graph drawing based on the normalized adjacency matrix

Degree assortativity

Zipf plot

Hop distribution

Double Laplacian graph drawing

Delaunay graph drawing

Edge weight/multiplicity distribution

Temporal distribution

Temporal hop distribution

Diameter/density evolution

Matrix decompositions plots

Downloads

References

[1] Jérôme Kunegis. KONECT – The Koblenz Network Collection. In Proc. Int. Conf. on World Wide Web Companion, pages 1343–1350, 2013. [ http ]
[2] Wikimedia Foundation. Wikimedia downloads. http://dumps.wikimedia.org/, January 2010.