Wikipedia edits (iu)

This is the bipartite edit network of the Inuktitut Wikipedia. It contains users and pages from the Inuktitut Wikipedia, connected by edit events. Each edge represents an edit. The dataset includes the timestamp of each edit.

Metadata

Codeiu
Internal nameedit-iuwiki
NameWikipedia edits (iu)
Data sourcehttp://dumps.wikimedia.org/
AvailabilityDataset is available for download
Consistency checkDataset passed all tests
Category
Authorship network
Dataset timestamp 2017-10-20
Node meaningUser, article
Edge meaningEdit
Network formatBipartite, undirected
Edge typeUnweighted, multiple edges
Temporal data Edges are annotated with timestamps

Statistics

Size n =3,586
Left size n1 =767
Right size n2 =2,819
Volume m =32,761
Unique edge count m̿ =14,110
Wedge count s =1,964,580
Claw count z =300,930,918
Cross count x =47,456,860,419
Square count q =5,907,516
4-Tour count T4 =55,159,660
Maximum degree dmax =2,776
Maximum left degree d1max =2,776
Maximum right degree d2max =346
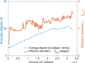
Average degree d =18.271 6
Average left degree d1 =42.713 2
Average right degree d2 =11.621 5
Fill p =0.006 525 84
Average edge multiplicity m̃ =2.321 83
Size of LCC N =2,969
Diameter δ =12
50-Percentile effective diameter δ0.5 =3.421 43
90-Percentile effective diameter δ0.9 =5.158 53
Median distance δM =4
Mean distance δm =3.904 80
Gini coefficient G =0.852 427
Balanced inequality ratio P =0.139 037
Left balanced inequality ratio P1 =0.088 519 9
Right balanced inequality ratio P2 =0.154 757
Relative edge distribution entropy Her =0.801 362
Power law exponent γ =2.199 59
Tail power law exponent γt =1.771 00
Tail power law exponent with p γ3 =1.771 00
p-value p =0.000 00
Left tail power law exponent with p γ3,1 =1.671 00
Left p-value p1 =0.000 00
Right tail power law exponent with p γ3,2 =1.811 00
Right p-value p2 =0.000 00
Degree assortativity ρ =−0.214 112
Degree assortativity p-value pρ =5.377 76 × 10−146
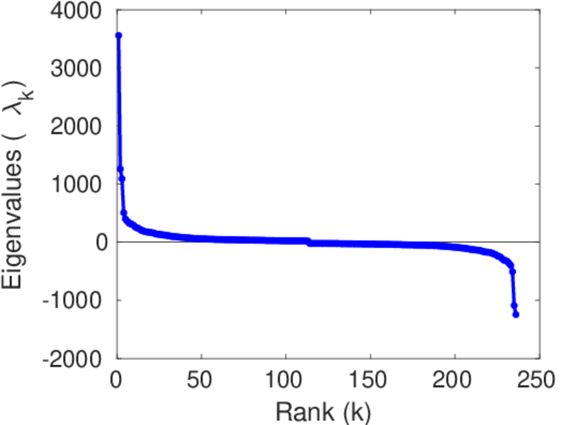
Spectral norm α =326.552
Algebraic connectivity a =0.055 814 3
Spectral separation 1[A] / λ2[A]| =1.191 79
Controllability C =2,097
Relative controllability Cr =0.598 972

Plots

Fruchterman–Reingold graph drawing

Degree distribution

Cumulative degree distribution

Lorenz curve

Spectral distribution of the adjacency matrix

Spectral distribution of the normalized adjacency matrix

Spectral distribution of the Laplacian

Spectral graph drawing based on the adjacency matrix

Spectral graph drawing based on the Laplacian

Spectral graph drawing based on the normalized adjacency matrix

Degree assortativity

Zipf plot

Hop distribution

Double Laplacian graph drawing

Delaunay graph drawing

Edge weight/multiplicity distribution

Temporal distribution

Temporal hop distribution

Diameter/density evolution

Matrix decompositions plots

Downloads

References

[1] Jérôme Kunegis. KONECT – The Koblenz Network Collection. In Proc. Int. Conf. on World Wide Web Companion, pages 1343–1350, 2013. [ http ]
[2] Wikimedia Foundation. Wikimedia downloads. http://dumps.wikimedia.org/, January 2010.