Wikiquote edits (ja)

This is the bipartite edit network of the Japanese Wikiquote. It contains users and pages from the Japanese Wikiquote, connected by edit events. Each edge represents an edit. The dataset includes the timestamp of each edit.

Metadata

Codeqja
Internal nameedit-jawikiquote
NameWikiquote edits (ja)
Data sourcehttp://dumps.wikimedia.org/
AvailabilityDataset is available for download
Consistency checkDataset passed all tests
Category
Authorship network
Dataset timestamp 2017-10-20
Node meaningUser, article
Edge meaningEdit
Network formatBipartite, undirected
Edge typeUnweighted, multiple edges
Temporal data Edges are annotated with timestamps

Statistics

Size n =5,011
Left size n1 =901
Right size n2 =4,110
Volume m =20,595
Unique edge count m̿ =10,205
Wedge count s =2,198,017
Claw count z =905,246,428
Cross count x =364,401,688,237
Square count q =593,732
4-Tour count T4 =13,564,338
Maximum degree dmax =5,562
Maximum left degree d1max =5,562
Maximum right degree d2max =767
Average degree d =8.219 92
Average left degree d1 =22.857 9
Average right degree d2 =5.010 95
Fill p =0.002 755 79
Average edge multiplicity m̃ =2.018 13
Size of LCC N =4,255
Diameter δ =12
50-Percentile effective diameter δ0.5 =3.387 89
90-Percentile effective diameter δ0.9 =4.842 81
Median distance δM =4
Mean distance δm =3.808 34
Gini coefficient G =0.773 692
Balanced inequality ratio P =0.191 479
Left balanced inequality ratio P1 =0.107 793
Right balanced inequality ratio P2 =0.245 836
Relative edge distribution entropy Her =0.806 151
Power law exponent γ =2.648 26
Tail power law exponent γt =2.171 00
Tail power law exponent with p γ3 =2.171 00
p-value p =0.000 00
Left tail power law exponent with p γ3,1 =1.821 00
Left p-value p1 =0.030 000 0
Right tail power law exponent with p γ3,2 =4.121 00
Right p-value p2 =0.190 000
Degree assortativity ρ =−0.193 640
Degree assortativity p-value pρ =8.647 83 × 10−87
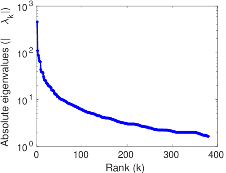
Spectral norm α =457.735
Algebraic connectivity a =0.023 903 4
Spectral separation 1[A] / λ2[A]| =4.133 06
Controllability C =3,270
Relative controllability Cr =0.674 644

Plots

Fruchterman–Reingold graph drawing

Degree distribution

Cumulative degree distribution

Lorenz curve

Spectral distribution of the adjacency matrix

Spectral distribution of the normalized adjacency matrix

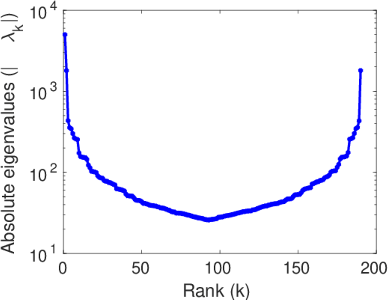
Spectral distribution of the Laplacian

Spectral graph drawing based on the adjacency matrix

Spectral graph drawing based on the Laplacian

Spectral graph drawing based on the normalized adjacency matrix

Degree assortativity

Zipf plot

Hop distribution

Double Laplacian graph drawing

Delaunay graph drawing

Edge weight/multiplicity distribution

Temporal distribution

Temporal hop distribution

Diameter/density evolution

Matrix decompositions plots

Downloads

References

[1] Jérôme Kunegis. KONECT – The Koblenz Network Collection. In Proc. Int. Conf. on World Wide Web Companion, pages 1343–1350, 2013. [ http ]
[2] Wikimedia Foundation. Wikimedia downloads. http://dumps.wikimedia.org/, January 2010.