Wikiversity edits (ja)

This is the bipartite edit network of the Japanese Wikiversity. It contains users and pages from the Japanese Wikiversity, connected by edit events. Each edge represents an edit. The dataset includes the timestamp of each edit.

Metadata

Codeyja
Internal nameedit-jawikiversity
NameWikiversity edits (ja)
Data sourcehttp://dumps.wikimedia.org/
AvailabilityDataset is available for download
Consistency checkDataset passed all tests
Category
Authorship network
Dataset timestamp 2017-10-20
Node meaningUser, article
Edge meaningEdit
Network formatBipartite, undirected
Edge typeUnweighted, multiple edges
Temporal data Edges are annotated with timestamps

Statistics

Size n =2,888
Left size n1 =492
Right size n2 =2,396
Volume m =8,599
Unique edge count m̿ =4,769
Wedge count s =523,224
Claw count z =67,627,959
Cross count x =7,572,592,760
Square count q =128,525
4-Tour count T4 =3,130,762
Maximum degree dmax =824
Maximum left degree d1max =824
Maximum right degree d2max =481
Average degree d =5.954 99
Average left degree d1 =17.477 6
Average right degree d2 =3.588 90
Fill p =0.004 045 53
Average edge multiplicity m̃ =1.803 10
Size of LCC N =2,521
Diameter δ =12
50-Percentile effective diameter δ0.5 =3.497 19
90-Percentile effective diameter δ0.9 =5.260 51
Median distance δM =4
Mean distance δm =4.032 04
Gini coefficient G =0.740 542
Balanced inequality ratio P =0.207 001
Left balanced inequality ratio P1 =0.133 736
Right balanced inequality ratio P2 =0.286 080
Relative edge distribution entropy Her =0.814 715
Power law exponent γ =2.932 07
Tail power law exponent γt =2.491 00
Tail power law exponent with p γ3 =2.491 00
p-value p =0.001 000 00
Left tail power law exponent with p γ3,1 =1.821 00
Left p-value p1 =0.249 000
Right tail power law exponent with p γ3,2 =3.291 00
Right p-value p2 =0.619 000
Degree assortativity ρ =−0.151 704
Degree assortativity p-value pρ =5.980 47 × 10−26
Spectral norm α =208.036
Algebraic connectivity a =0.028 020 1
Spectral separation 1[A] / λ2[A]| =1.397 43
Controllability C =2,016
Relative controllability Cr =0.701 950

Plots

Fruchterman–Reingold graph drawing

Degree distribution

Cumulative degree distribution

Lorenz curve

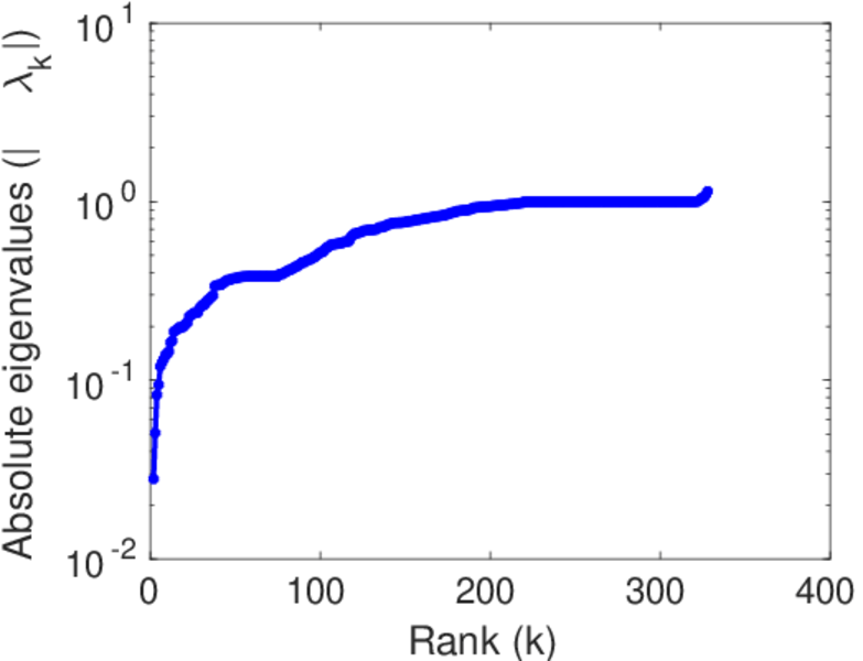
Spectral distribution of the adjacency matrix

Spectral distribution of the normalized adjacency matrix

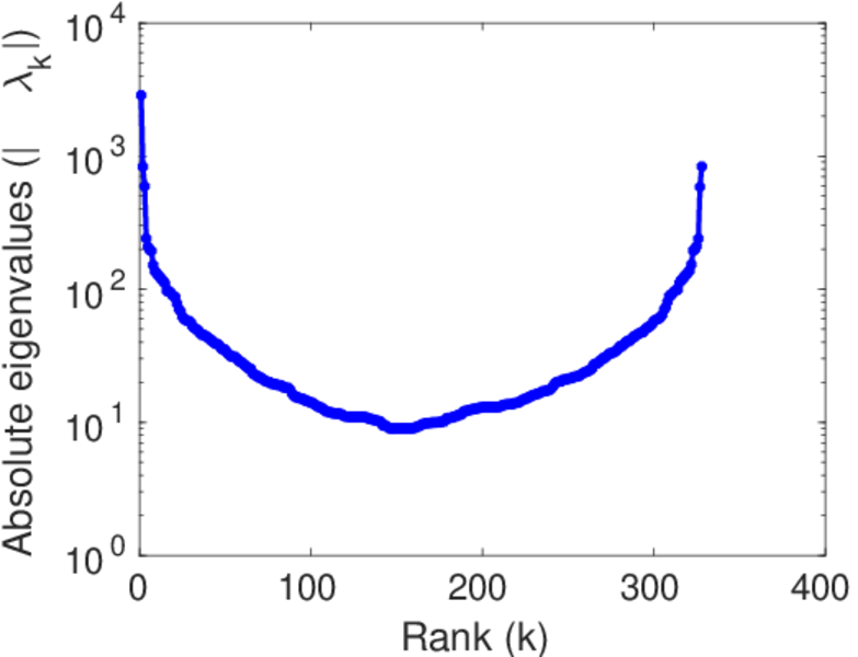
Spectral distribution of the Laplacian

Spectral graph drawing based on the adjacency matrix

Spectral graph drawing based on the Laplacian

Spectral graph drawing based on the normalized adjacency matrix

Degree assortativity

Zipf plot

Hop distribution

Double Laplacian graph drawing

Delaunay graph drawing

Edge weight/multiplicity distribution

Temporal distribution

Temporal hop distribution

Diameter/density evolution

Matrix decompositions plots

Downloads

References

[1] Jérôme Kunegis. KONECT – The Koblenz Network Collection. In Proc. Int. Conf. on World Wide Web Companion, pages 1343–1350, 2013. [ http ]
[2] Wikimedia Foundation. Wikimedia downloads. http://dumps.wikimedia.org/, January 2010.