Wiktionary edits (jbo)

This is the bipartite edit network of the Lojban Wiktionary. It contains users and pages from the Lojban Wiktionary, connected by edit events. Each edge represents an edit. The dataset includes the timestamp of each edit.

Metadata

Codemjbo
Internal nameedit-jbowiktionary
NameWiktionary edits (jbo)
Data sourcehttp://dumps.wikimedia.org/
AvailabilityDataset is available for download
Consistency checkDataset passed all tests
Category
Authorship network
Dataset timestamp 2017-10-20
Node meaningUser, article
Edge meaningEdit
Network formatBipartite, undirected
Edge typeUnweighted, multiple edges
Temporal data Edges are annotated with timestamps

Statistics

Size n =1,774
Left size n1 =193
Right size n2 =1,581
Volume m =8,417
Unique edge count m̿ =4,275
Wedge count s =933,941
Claw count z =198,081,944
Cross count x =35,337,959,855
Square count q =732,083
4-Tour count T4 =9,601,242
Maximum degree dmax =2,120
Maximum left degree d1max =2,120
Maximum right degree d2max =88
Average degree d =9.489 29
Average left degree d1 =43.611 4
Average right degree d2 =5.323 85
Fill p =0.014 010 3
Average edge multiplicity m̃ =1.968 89
Size of LCC N =1,535
Diameter δ =14
50-Percentile effective diameter δ0.5 =3.078 60
90-Percentile effective diameter δ0.9 =5.840 31
Median distance δM =4
Mean distance δm =3.788 49
Gini coefficient G =0.725 262
Balanced inequality ratio P =0.225 615
Left balanced inequality ratio P1 =0.085 422 4
Right balanced inequality ratio P2 =0.293 810
Relative edge distribution entropy Her =0.766 009
Power law exponent γ =2.278 75
Tail power law exponent γt =2.811 00
Tail power law exponent with p γ3 =2.811 00
p-value p =0.000 00
Left tail power law exponent with p γ3,1 =1.701 00
Left p-value p1 =0.575 000
Right tail power law exponent with p γ3,2 =6.901 00
Right p-value p2 =0.018 000 0
Degree assortativity ρ =+0.068 944 0
Degree assortativity p-value pρ =6.426 41 × 10−6
Spectral norm α =135.575
Algebraic connectivity a =0.013 417 6
Spectral separation 1[A] / λ2[A]| =1.803 56
Controllability C =1,401
Relative controllability Cr =0.794 668

Plots

Fruchterman–Reingold graph drawing

Degree distribution

Cumulative degree distribution

Lorenz curve

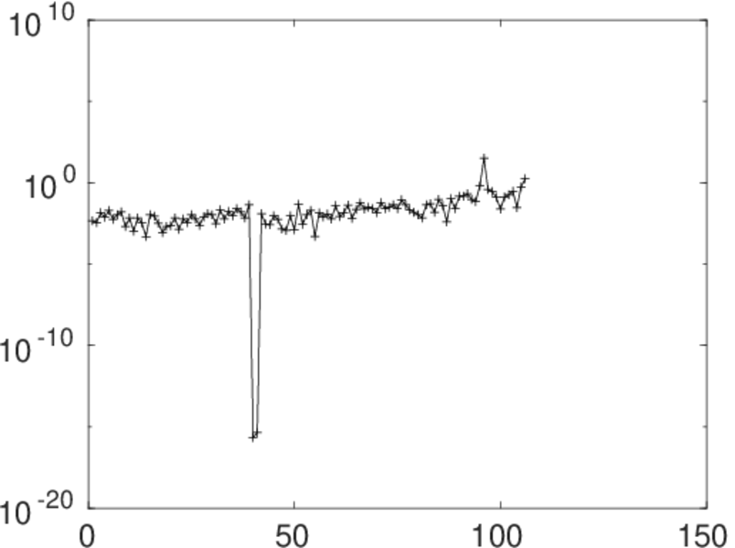
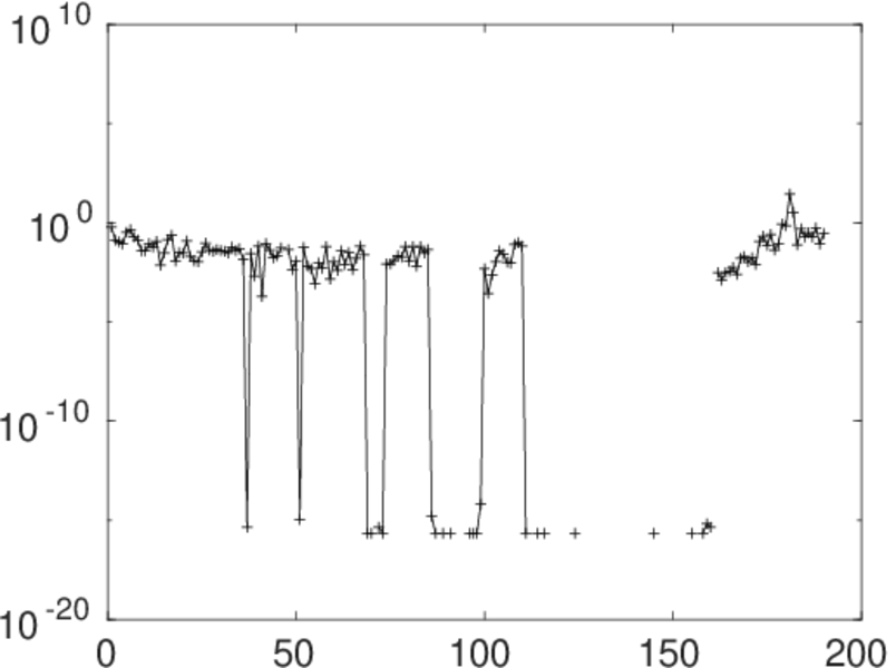
Spectral distribution of the adjacency matrix

Spectral distribution of the normalized adjacency matrix

Spectral distribution of the Laplacian

Spectral graph drawing based on the adjacency matrix

Spectral graph drawing based on the Laplacian

Spectral graph drawing based on the normalized adjacency matrix

Degree assortativity

Zipf plot

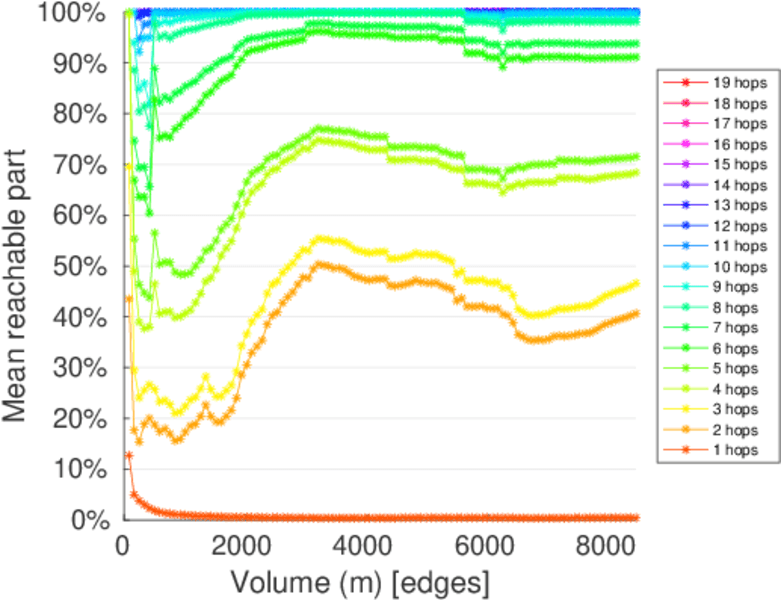
Hop distribution

Double Laplacian graph drawing

Delaunay graph drawing

Edge weight/multiplicity distribution

Temporal distribution

Temporal hop distribution

Diameter/density evolution

Matrix decompositions plots

Downloads

References

[1] Jérôme Kunegis. KONECT – The Koblenz Network Collection. In Proc. Int. Conf. on World Wide Web Companion, pages 1343–1350, 2013. [ http ]
[2] Wikimedia Foundation. Wikimedia downloads. http://dumps.wikimedia.org/, January 2010.