Wikibooks edits (ka)

This is the bipartite edit network of the Georgian Wikibooks. It contains users and pages from the Georgian Wikibooks, connected by edit events. Each edge represents an edit. The dataset includes the timestamp of each edit.

Metadata

Codebka
Internal nameedit-kawikibooks
NameWikibooks edits (ka)
Data sourcehttp://dumps.wikimedia.org/
AvailabilityDataset is available for download
Consistency checkDataset passed all tests
Category
Authorship network
Dataset timestamp 2017-10-20
Node meaningUser, article
Edge meaningEdit
Network formatBipartite, undirected
Edge typeUnweighted, multiple edges
Temporal data Edges are annotated with timestamps

Statistics

Size n =5,267
Left size n1 =258
Right size n2 =5,009
Volume m =12,212
Unique edge count m̿ =6,465
Wedge count s =4,214,384
Claw count z =3,014,264,684
Cross count x =1,773,540,974,581
Square count q =166,179
4-Tour count T4 =18,200,034
Maximum degree dmax =4,272
Maximum left degree d1max =4,272
Maximum right degree d2max =168
Average degree d =4.637 17
Average left degree d1 =47.333 3
Average right degree d2 =2.438 01
Fill p =0.005 002 62
Average edge multiplicity m̃ =1.888 94
Size of LCC N =4,994
Diameter δ =13
50-Percentile effective diameter δ0.5 =3.349 57
90-Percentile effective diameter δ0.9 =4.381 25
Median distance δM =4
Mean distance δm =3.658 98
Gini coefficient G =0.754 878
Balanced inequality ratio P =0.187 439
Left balanced inequality ratio P1 =0.078 611 2
Right balanced inequality ratio P2 =0.288 814
Relative edge distribution entropy Her =0.718 189
Power law exponent γ =6.107 56
Tail power law exponent γt =2.841 00
Tail power law exponent with p γ3 =2.841 00
p-value p =0.000 00
Left tail power law exponent with p γ3,1 =1.661 00
Left p-value p1 =0.789 000
Right tail power law exponent with p γ3,2 =3.031 00
Right p-value p2 =0.000 00
Degree assortativity ρ =−0.209 748
Degree assortativity p-value pρ =3.401 04 × 10−65
Spectral norm α =284.651
Algebraic connectivity a =0.024 784 6
Spectral separation 1[A] / λ2[A]| =1.712 22
Controllability C =4,777
Relative controllability Cr =0.908 002

Plots

Fruchterman–Reingold graph drawing

Degree distribution

Cumulative degree distribution

Lorenz curve

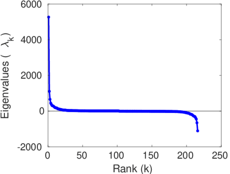
Spectral distribution of the adjacency matrix

Spectral distribution of the normalized adjacency matrix

Spectral distribution of the Laplacian

Spectral graph drawing based on the adjacency matrix

Spectral graph drawing based on the Laplacian

Spectral graph drawing based on the normalized adjacency matrix

Degree assortativity

Zipf plot

Hop distribution

Double Laplacian graph drawing

Delaunay graph drawing

Edge weight/multiplicity distribution

Temporal distribution

Temporal hop distribution

Diameter/density evolution

Matrix decompositions plots

Downloads

References

[1] Jérôme Kunegis. KONECT – The Koblenz Network Collection. In Proc. Int. Conf. on World Wide Web Companion, pages 1343–1350, 2013. [ http ]
[2] Wikimedia Foundation. Wikimedia downloads. http://dumps.wikimedia.org/, January 2010.