Wikipedia edits (kl)

This is the bipartite edit network of the Kalaallisut Wikipedia. It contains users and pages from the Kalaallisut Wikipedia, connected by edit events. Each edge represents an edit. The dataset includes the timestamp of each edit.

Metadata

Codekl
Internal nameedit-klwiki
NameWikipedia edits (kl)
Data sourcehttp://dumps.wikimedia.org/
AvailabilityDataset is available for download
Consistency checkDataset passed all tests
Category
Authorship network
Dataset timestamp 2017-10-20
Node meaningUser, article
Edge meaningEdit
Network formatBipartite, undirected
Edge typeUnweighted, multiple edges
Temporal data Edges are annotated with timestamps

Statistics

Size n =4,880
Left size n1 =990
Right size n2 =3,890
Volume m =61,687
Unique edge count m̿ =29,942
Wedge count s =9,102,928
Claw count z =2,779,576,374
Cross count x =765,151,406,124
Square count q =25,068,098
4-Tour count T4 =237,026,400
Maximum degree dmax =5,427
Maximum left degree d1max =5,427
Maximum right degree d2max =244
Average degree d =25.281 6
Average left degree d1 =62.310 1
Average right degree d2 =15.857 8
Fill p =0.007 774 92
Average edge multiplicity m̃ =2.060 22
Size of LCC N =4,175
Diameter δ =13
50-Percentile effective diameter δ0.5 =3.364 01
90-Percentile effective diameter δ0.9 =5.173 37
Median distance δM =4
Mean distance δm =3.817 89
Gini coefficient G =0.786 625
Balanced inequality ratio P =0.196 411
Left balanced inequality ratio P1 =0.075 364 3
Right balanced inequality ratio P2 =0.257 364
Relative edge distribution entropy Her =0.802 550
Power law exponent γ =1.790 15
Tail power law exponent γt =2.611 00
Tail power law exponent with p γ3 =2.611 00
p-value p =0.000 00
Left tail power law exponent with p γ3,1 =1.581 00
Left p-value p1 =0.000 00
Right tail power law exponent with p γ3,2 =3.611 00
Right p-value p2 =0.002 000 00
Degree assortativity ρ =−0.131 841
Degree assortativity p-value pρ =3.486 32 × 10−116
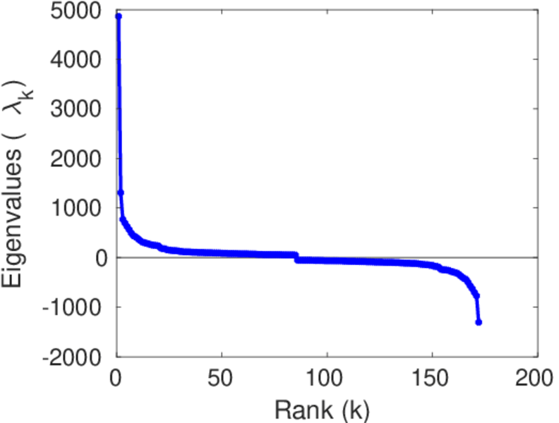
Spectral norm α =360.555
Algebraic connectivity a =0.026 124 5
Spectral separation 1[A] / λ2[A]| =1.869 20
Controllability C =2,987
Relative controllability Cr =0.619 581

Plots

Fruchterman–Reingold graph drawing

Degree distribution

Cumulative degree distribution

Lorenz curve

Spectral distribution of the adjacency matrix

Spectral distribution of the normalized adjacency matrix

Spectral distribution of the Laplacian

Spectral graph drawing based on the adjacency matrix

Spectral graph drawing based on the Laplacian

Spectral graph drawing based on the normalized adjacency matrix

Degree assortativity

Zipf plot

Hop distribution

Double Laplacian graph drawing

Delaunay graph drawing

Edge weight/multiplicity distribution

Temporal distribution

Temporal hop distribution

Diameter/density evolution

Matrix decompositions plots

Downloads

References

[1] Jérôme Kunegis. KONECT – The Koblenz Network Collection. In Proc. Int. Conf. on World Wide Web Companion, pages 1343–1350, 2013. [ http ]
[2] Wikimedia Foundation. Wikimedia downloads. http://dumps.wikimedia.org/, January 2010.