Wiktionary edits (kl)

This is the bipartite edit network of the Kalaallisut Wiktionary. It contains users and pages from the Kalaallisut Wiktionary, connected by edit events. Each edge represents an edit. The dataset includes the timestamp of each edit.

Metadata

Codemkl
Internal nameedit-klwiktionary
NameWiktionary edits (kl)
Data sourcehttp://dumps.wikimedia.org/
AvailabilityDataset is available for download
Consistency checkDataset passed all tests
Category
Authorship network
Dataset timestamp 2017-10-20
Node meaningUser, article
Edge meaningEdit
Network formatBipartite, undirected
Edge typeUnweighted, multiple edges
Temporal data Edges are annotated with timestamps

Statistics

Size n =2,597
Left size n1 =210
Right size n2 =2,387
Volume m =17,251
Unique edge count m̿ =8,919
Wedge count s =2,543,694
Claw count z =647,004,437
Cross count x =142,682,495,973
Square count q =3,295,603
4-Tour count T4 =36,557,746
Maximum degree dmax =3,607
Maximum left degree d1max =3,607
Maximum right degree d2max =112
Average degree d =13.285 3
Average left degree d1 =82.147 6
Average right degree d2 =7.227 06
Fill p =0.017 792 8
Average edge multiplicity m̃ =1.934 19
Size of LCC N =2,230
Diameter δ =14
50-Percentile effective diameter δ0.5 =3.049 65
90-Percentile effective diameter δ0.9 =5.408 74
Median distance δM =4
Mean distance δm =3.442 92
Gini coefficient G =0.763 362
Balanced inequality ratio P =0.208 423
Left balanced inequality ratio P1 =0.065 735 3
Right balanced inequality ratio P2 =0.278 651
Relative edge distribution entropy Her =0.764 379
Power law exponent γ =2.010 91
Tail power law exponent γt =3.141 00
Tail power law exponent with p γ3 =3.141 00
p-value p =0.000 00
Left tail power law exponent with p γ3,1 =1.611 00
Left p-value p1 =0.000 00
Right tail power law exponent with p γ3,2 =8.991 00
Right p-value p2 =0.151 000
Degree assortativity ρ =+0.098 737 4
Degree assortativity p-value pρ =9.073 10 × 10−21
Spectral norm α =201.534
Algebraic connectivity a =0.007 650 30
Spectral separation 1[A] / λ2[A]| =1.560 63
Controllability C =2,140
Relative controllability Cr =0.838 558

Plots

Fruchterman–Reingold graph drawing

Degree distribution

Cumulative degree distribution

Lorenz curve

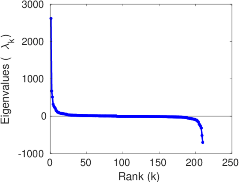
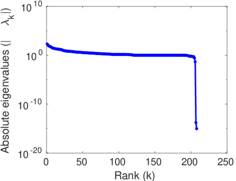
Spectral distribution of the adjacency matrix

Spectral distribution of the normalized adjacency matrix

Spectral distribution of the Laplacian

Spectral graph drawing based on the adjacency matrix

Spectral graph drawing based on the Laplacian

Spectral graph drawing based on the normalized adjacency matrix

Degree assortativity

Zipf plot

Hop distribution

Double Laplacian graph drawing

Delaunay graph drawing

Edge weight/multiplicity distribution

Temporal distribution

Temporal hop distribution

Diameter/density evolution

Matrix decompositions plots

Downloads

References

[1] Jérôme Kunegis. KONECT – The Koblenz Network Collection. In Proc. Int. Conf. on World Wide Web Companion, pages 1343–1350, 2013. [ http ]
[2] Wikimedia Foundation. Wikimedia downloads. http://dumps.wikimedia.org/, January 2010.