Wikiquote edits (ky)

This is the bipartite edit network of the Kyrgyz Wikiquote. It contains users and pages from the Kyrgyz Wikiquote, connected by edit events. Each edge represents an edit. The dataset includes the timestamp of each edit.

Metadata

Codeqky
Internal nameedit-kywikiquote
NameWikiquote edits (ky)
Data sourcehttp://dumps.wikimedia.org/
AvailabilityDataset is available for download
Consistency checkDataset passed all tests
Category
Authorship network
Dataset timestamp 2017-10-20
Node meaningUser, article
Edge meaningEdit
Network formatBipartite, undirected
Edge typeUnweighted, multiple edges
Temporal data Edges are annotated with timestamps

Statistics

Size n =611
Left size n1 =149
Right size n2 =462
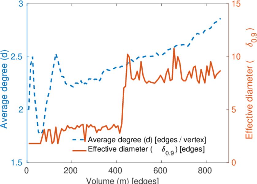
Volume m =864
Unique edge count m̿ =557
Wedge count s =18,410
Claw count z =1,092,357
Cross count x =50,410,507
Square count q =86
4-Tour count T4 =76,282
Maximum degree dmax =204
Maximum left degree d1max =204
Maximum right degree d2max =128
Average degree d =2.828 15
Average left degree d1 =5.798 66
Average right degree d2 =1.870 13
Fill p =0.008 091 46
Average edge multiplicity m̃ =1.551 17
Size of LCC N =303
Diameter δ =15
50-Percentile effective diameter δ0.5 =2.792 60
90-Percentile effective diameter δ0.9 =7.933 80
Median distance δM =3
Mean distance δm =4.234 06
Gini coefficient G =0.623 825
Balanced inequality ratio P =0.258 102
Left balanced inequality ratio P1 =0.221 065
Right balanced inequality ratio P2 =0.341 435
Relative edge distribution entropy Her =0.864 225
Power law exponent γ =5.230 92
Tail power law exponent γt =2.671 00
Tail power law exponent with p γ3 =2.671 00
p-value p =0.407 000
Left tail power law exponent with p γ3,1 =1.971 00
Left p-value p1 =0.085 000 0
Right tail power law exponent with p γ3,2 =3.331 00
Right p-value p2 =0.934 000
Degree assortativity ρ =−0.214 036
Degree assortativity p-value pρ =3.409 16 × 10−7
Spectral norm α =90.686 5
Algebraic connectivity a =0.007 141 38
Spectral separation 1[A] / λ2[A]| =2.372 56
Controllability C =324
Relative controllability Cr =0.536 424

Plots

Fruchterman–Reingold graph drawing

Degree distribution

Cumulative degree distribution

Lorenz curve

Spectral distribution of the adjacency matrix

Spectral distribution of the normalized adjacency matrix

Spectral distribution of the Laplacian

Spectral graph drawing based on the adjacency matrix

Spectral graph drawing based on the Laplacian

Spectral graph drawing based on the normalized adjacency matrix

Degree assortativity

Zipf plot

Hop distribution

Double Laplacian graph drawing

Delaunay graph drawing

Edge weight/multiplicity distribution

Temporal distribution

Temporal hop distribution

Diameter/density evolution

Matrix decompositions plots

Downloads

References

[1] Jérôme Kunegis. KONECT – The Koblenz Network Collection. In Proc. Int. Conf. on World Wide Web Companion, pages 1343–1350, 2013. [ http ]
[2] Wikimedia Foundation. Wikimedia downloads. http://dumps.wikimedia.org/, January 2010.