Wikiquote edits (li)

This is the bipartite edit network of the Limburgish Wikisource. It contains users and pages from the Limburgish Wikisource, connected by edit events. Each edge represents an edit. The dataset includes the timestamp of each edit.

Metadata

Codeqli
Internal nameedit-liwikisource
NameWikiquote edits (li)
Data sourcehttp://dumps.wikimedia.org/
AvailabilityDataset is available for download
Consistency checkDataset passed all tests
Category
Authorship network
Dataset timestamp 2017-10-20
Node meaningUser, article
Edge meaningEdit
Network formatBipartite, undirected
Edge typeUnweighted, multiple edges
Temporal data Edges are annotated with timestamps

Statistics

Size n =3,437
Left size n1 =206
Right size n2 =3,231
Volume m =6,143
Unique edge count m̿ =4,386
Wedge count s =2,105,255
Claw count z =954,862,506
Cross count x =342,990,013,422
Square count q =134,569
4-Tour count T4 =9,519,328
Maximum degree dmax =2,412
Maximum left degree d1max =2,412
Maximum right degree d2max =168
Average degree d =3.574 63
Average left degree d1 =29.820 4
Average right degree d2 =1.901 27
Fill p =0.006 589 68
Average edge multiplicity m̃ =1.400 59
Size of LCC N =3,224
Diameter δ =11
50-Percentile effective diameter δ0.5 =3.183 87
90-Percentile effective diameter δ0.9 =4.627 11
Median distance δM =4
Mean distance δm =3.415 86
Gini coefficient G =0.698 938
Balanced inequality ratio P =0.215 530
Left balanced inequality ratio P1 =0.084 812 0
Right balanced inequality ratio P2 =0.343 155
Relative edge distribution entropy Her =0.710 347
Power law exponent γ =5.735 56
Tail power law exponent γt =2.771 00
Tail power law exponent with p γ3 =2.771 00
p-value p =0.000 00
Left tail power law exponent with p γ3,1 =1.821 00
Left p-value p1 =0.411 000
Right tail power law exponent with p γ3,2 =2.941 00
Right p-value p2 =0.000 00
Degree assortativity ρ =−0.289 975
Degree assortativity p-value pρ =1.008 41 × 10−85
Spectral norm α =101.346
Algebraic connectivity a =0.018 942 1
Spectral separation 1[A] / λ2[A]| =1.488 73
Controllability C =3,105
Relative controllability Cr =0.906 569

Plots

Fruchterman–Reingold graph drawing

Degree distribution

Cumulative degree distribution

Lorenz curve

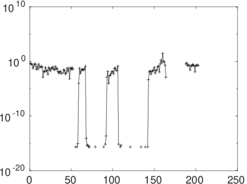
Spectral distribution of the adjacency matrix

Spectral distribution of the normalized adjacency matrix

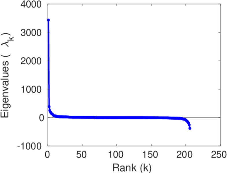
Spectral distribution of the Laplacian

Spectral graph drawing based on the adjacency matrix

Spectral graph drawing based on the Laplacian

Spectral graph drawing based on the normalized adjacency matrix

Degree assortativity

Zipf plot

Hop distribution

Double Laplacian graph drawing

Delaunay graph drawing

Edge weight/multiplicity distribution

Temporal distribution

Temporal hop distribution

Diameter/density evolution

Matrix decompositions plots

Downloads

References

[1] Jérôme Kunegis. KONECT – The Koblenz Network Collection. In Proc. Int. Conf. on World Wide Web Companion, pages 1343–1350, 2013. [ http ]
[2] Wikimedia Foundation. Wikimedia downloads. http://dumps.wikimedia.org/, January 2010.