Wikiquote edits (lt)

This is the bipartite edit network of the Lithuanian Wikiquote. It contains users and pages from the Lithuanian Wikiquote, connected by edit events. Each edge represents an edit. The dataset includes the timestamp of each edit.

Metadata

Codeqlt
Internal nameedit-ltwikiquote
NameWikiquote edits (lt)
Data sourcehttp://dumps.wikimedia.org/
AvailabilityDataset is available for download
Consistency checkDataset passed all tests
Category
Authorship network
Dataset timestamp 2017-10-20
Node meaningUser, article
Edge meaningEdit
Network formatBipartite, undirected
Edge typeUnweighted, multiple edges
Temporal data Edges are annotated with timestamps

Statistics

Size n =6,008
Left size n1 =411
Right size n2 =5,597
Volume m =54,892
Unique edge count m̿ =17,638
Wedge count s =11,113,344
Claw count z =9,365,937,713
Cross count x =7,573,078,355,969
Square count q =5,393,107
4-Tour count T4 =87,655,756
Maximum degree dmax =32,623
Maximum left degree d1max =32,623
Maximum right degree d2max =1,268
Average degree d =18.273 0
Average left degree d1 =133.557
Average right degree d2 =9.807 40
Fill p =0.007 667 47
Average edge multiplicity m̃ =3.112 14
Size of LCC N =5,716
Diameter δ =11
50-Percentile effective diameter δ0.5 =3.079 82
90-Percentile effective diameter δ0.9 =3.912 52
Median distance δM =4
Mean distance δm =3.216 55
Gini coefficient G =0.844 121
Balanced inequality ratio P =0.158 211
Left balanced inequality ratio P1 =0.057 421 8
Right balanced inequality ratio P2 =0.223 621
Relative edge distribution entropy Her =0.751 548
Power law exponent γ =2.233 01
Tail power law exponent γt =2.351 00
Tail power law exponent with p γ3 =2.351 00
p-value p =0.000 00
Left tail power law exponent with p γ3,1 =1.521 00
Left p-value p1 =0.236 000
Right tail power law exponent with p γ3,2 =8.571 00
Right p-value p2 =0.504 000
Degree assortativity ρ =−0.284 364
Degree assortativity p-value pρ =0.000 00
Spectral norm α =2,029.99
Algebraic connectivity a =0.029 519 8
Spectral separation 1[A] / λ2[A]| =6.612 88
Controllability C =5,197
Relative controllability Cr =0.866 600

Plots

Fruchterman–Reingold graph drawing

Degree distribution

Cumulative degree distribution

Lorenz curve

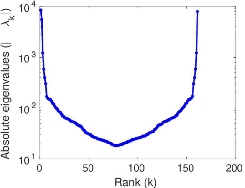
Spectral distribution of the adjacency matrix

Spectral distribution of the normalized adjacency matrix

Spectral distribution of the Laplacian

Spectral graph drawing based on the adjacency matrix

Spectral graph drawing based on the Laplacian

Spectral graph drawing based on the normalized adjacency matrix

Degree assortativity

Zipf plot

Hop distribution

Double Laplacian graph drawing

Delaunay graph drawing

Edge weight/multiplicity distribution

Temporal distribution

Temporal hop distribution

Diameter/density evolution

Matrix decompositions plots

Downloads

References

[1] Jérôme Kunegis. KONECT – The Koblenz Network Collection. In Proc. Int. Conf. on World Wide Web Companion, pages 1343–1350, 2013. [ http ]
[2] Wikimedia Foundation. Wikimedia downloads. http://dumps.wikimedia.org/, January 2010.