Wikiquote edits (lt)

This is the bipartite edit network of the Lithuanian Wikisource. It contains users and pages from the Lithuanian Wikisource, connected by edit events. Each edge represents an edit. The dataset includes the timestamp of each edit.

Metadata

Codeqlt
Internal nameedit-ltwikisource
NameWikiquote edits (lt)
Data sourcehttp://dumps.wikimedia.org/
AvailabilityDataset is available for download
Consistency checkDataset passed all tests
Category
Authorship network
Dataset timestamp 2017-10-20
Node meaningUser, article
Edge meaningEdit
Network formatBipartite, undirected
Edge typeUnweighted, multiple edges
Temporal data Edges are annotated with timestamps

Statistics

Size n =1,983
Left size n1 =221
Right size n2 =1,762
Volume m =4,944
Unique edge count m̿ =2,672
Wedge count s =332,432
Claw count z =62,710,067
Cross count x =10,502,052,539
Square count q =13,361
4-Tour count T4 =1,442,740
Maximum degree dmax =1,778
Maximum left degree d1max =1,778
Maximum right degree d2max =95
Average degree d =4.986 38
Average left degree d1 =22.371 0
Average right degree d2 =2.805 90
Fill p =0.006 861 80
Average edge multiplicity m̃ =1.850 30
Size of LCC N =1,741
Diameter δ =14
50-Percentile effective diameter δ0.5 =3.633 01
90-Percentile effective diameter δ0.9 =6.690 36
Median distance δM =4
Mean distance δm =4.410 91
Gini coefficient G =0.725 704
Balanced inequality ratio P =0.214 300
Left balanced inequality ratio P1 =0.123 989
Right balanced inequality ratio P2 =0.307 443
Relative edge distribution entropy Her =0.799 981
Power law exponent γ =3.822 15
Tail power law exponent γt =2.341 00
Tail power law exponent with p γ3 =2.341 00
p-value p =0.000 00
Left tail power law exponent with p γ3,1 =1.711 00
Left p-value p1 =0.409 000
Right tail power law exponent with p γ3,2 =3.661 00
Right p-value p2 =0.157 000
Degree assortativity ρ =−0.249 760
Degree assortativity p-value pρ =2.782 40 × 10−39
Spectral norm α =152.636
Algebraic connectivity a =0.032 350 4
Spectral separation 1[A] / λ2[A]| =1.754 95
Controllability C =1,540
Relative controllability Cr =0.779 352

Plots

Fruchterman–Reingold graph drawing

Degree distribution

Cumulative degree distribution

Lorenz curve

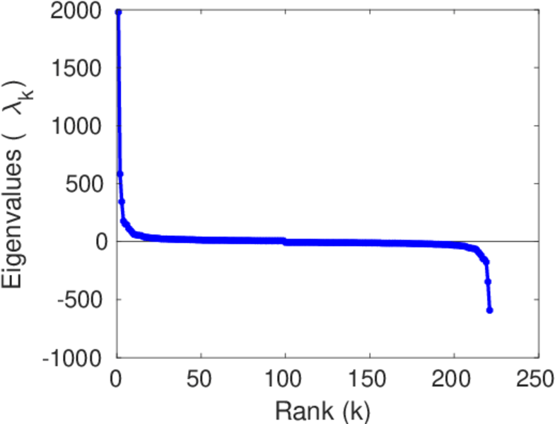
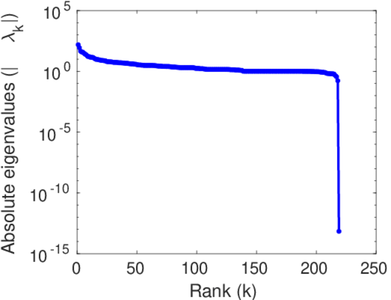
Spectral distribution of the adjacency matrix

Spectral distribution of the normalized adjacency matrix

Spectral distribution of the Laplacian

Spectral graph drawing based on the adjacency matrix

Spectral graph drawing based on the Laplacian

Spectral graph drawing based on the normalized adjacency matrix

Degree assortativity

Zipf plot

Hop distribution

Double Laplacian graph drawing

Delaunay graph drawing

Edge weight/multiplicity distribution

Temporal distribution

Temporal hop distribution

Diameter/density evolution

Matrix decompositions plots

Downloads

References

[1] Jérôme Kunegis. KONECT – The Koblenz Network Collection. In Proc. Int. Conf. on World Wide Web Companion, pages 1343–1350, 2013. [ http ]
[2] Wikimedia Foundation. Wikimedia downloads. http://dumps.wikimedia.org/, January 2010.