Wiktionary edits (lv)

This is the bipartite edit network of the Latvian Wiktionary. It contains users and pages from the Latvian Wiktionary, connected by edit events. Each edge represents an edit. The dataset includes the timestamp of each edit.

Metadata

Codemlv
Internal nameedit-lvwiktionary
NameWiktionary edits (lv)
Data sourcehttp://dumps.wikimedia.org/
AvailabilityDataset is available for download
Consistency checkDataset passed all tests
Category
Authorship network
Dataset timestamp 2017-10-20
Node meaningUser, article
Edge meaningEdit
Network formatBipartite, undirected
Edge typeUnweighted, multiple edges
Temporal data Edges are annotated with timestamps

Statistics

Size n =14,166
Left size n1 =330
Right size n2 =13,836
Volume m =79,460
Unique edge count m̿ =47,893
Wedge count s =97,394,815
Claw count z =184,543,133,919
Cross count x =291,688,790,115,646
Square count q =84,804,534
4-Tour count T4 =1,068,111,626
Maximum degree dmax =16,727
Maximum left degree d1max =16,727
Maximum right degree d2max =72
Average degree d =11.218 4
Average left degree d1 =240.788
Average right degree d2 =5.742 99
Fill p =0.010 489 3
Average edge multiplicity m̃ =1.659 12
Size of LCC N =13,766
Diameter δ =13
50-Percentile effective diameter δ0.5 =3.020 16
90-Percentile effective diameter δ0.9 =5.209 04
Median distance δM =4
Mean distance δm =3.417 80
Gini coefficient G =0.742 339
Balanced inequality ratio P =0.219 979
Left balanced inequality ratio P1 =0.054 757 1
Right balanced inequality ratio P2 =0.311 024
Relative edge distribution entropy Her =0.712 494
Power law exponent γ =2.023 10
Tail power law exponent γt =3.391 00
Tail power law exponent with p γ3 =3.391 00
p-value p =0.000 00
Left tail power law exponent with p γ3,1 =1.531 00
Left p-value p1 =0.001 000 00
Right tail power law exponent with p γ3,2 =8.741 00
Right p-value p2 =0.816 000
Degree assortativity ρ =−0.177 973
Degree assortativity p-value pρ =0.000 00
Spectral norm α =338.447
Algebraic connectivity a =0.007 636 22
Spectral separation 1[A] / λ2[A]| =1.769 90
Controllability C =13,361
Relative controllability Cr =0.954 153

Plots

Fruchterman–Reingold graph drawing

Degree distribution

Cumulative degree distribution

Lorenz curve

Spectral distribution of the adjacency matrix

Spectral distribution of the normalized adjacency matrix

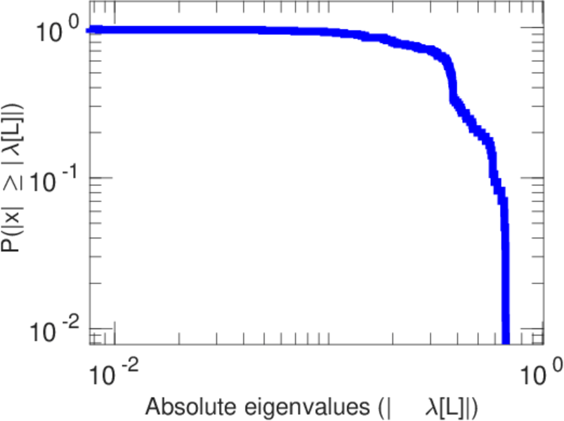
Spectral distribution of the Laplacian

Spectral graph drawing based on the adjacency matrix

Spectral graph drawing based on the Laplacian

Spectral graph drawing based on the normalized adjacency matrix

Degree assortativity

Zipf plot

Hop distribution

Double Laplacian graph drawing

Delaunay graph drawing

Edge weight/multiplicity distribution

Temporal distribution

Temporal hop distribution

Diameter/density evolution

Matrix decompositions plots

Downloads

References

[1] Jérôme Kunegis. KONECT – The Koblenz Network Collection. In Proc. Int. Conf. on World Wide Web Companion, pages 1343–1350, 2013. [ http ]
[2] Wikimedia Foundation. Wikimedia downloads. http://dumps.wikimedia.org/, January 2010.