Wikibooks edits (mk)

This is the bipartite edit network of the Macedonian Wikibooks. It contains users and pages from the Macedonian Wikibooks, connected by edit events. Each edge represents an edit. The dataset includes the timestamp of each edit.

Metadata

Codebmk
Internal nameedit-mkwikibooks
NameWikibooks edits (mk)
Data sourcehttp://dumps.wikimedia.org/
AvailabilityDataset is available for download
Consistency checkDataset passed all tests
Category
Authorship network
Dataset timestamp 2017-10-20
Node meaningUser, article
Edge meaningEdit
Network formatBipartite, undirected
Edge typeUnweighted, multiple edges
Temporal data Edges are annotated with timestamps

Statistics

Size n =2,155
Left size n1 =233
Right size n2 =1,922
Volume m =3,748
Unique edge count m̿ =2,373
Wedge count s =261,641
Claw count z =36,005,617
Cross count x =4,531,369,330
Square count q =15,826
4-Tour count T4 =1,178,002
Maximum degree dmax =1,087
Maximum left degree d1max =1,087
Maximum right degree d2max =73
Average degree d =3.478 42
Average left degree d1 =16.085 8
Average right degree d2 =1.950 05
Fill p =0.005 298 93
Average edge multiplicity m̃ =1.579 44
Size of LCC N =1,742
Diameter δ =17
50-Percentile effective diameter δ0.5 =3.727 22
90-Percentile effective diameter δ0.9 =7.355 73
Median distance δM =4
Mean distance δm =4.728 23
Gini coefficient G =0.668 289
Balanced inequality ratio P =0.245 998
Left balanced inequality ratio P1 =0.126 734
Right balanced inequality ratio P2 =0.354 322
Relative edge distribution entropy Her =0.794 065
Power law exponent γ =4.780 34
Tail power law exponent γt =2.571 00
Tail power law exponent with p γ3 =2.571 00
p-value p =0.000 00
Left tail power law exponent with p γ3,1 =1.811 00
Left p-value p1 =0.068 000 0
Right tail power law exponent with p γ3,2 =4.931 00
Right p-value p2 =0.004 000 00
Degree assortativity ρ =−0.172 760
Degree assortativity p-value pρ =2.349 02 × 10−17
Spectral norm α =101.686
Algebraic connectivity a =0.007 582 34
Spectral separation 1[A] / λ2[A]| =1.559 79
Controllability C =1,598
Relative controllability Cr =0.789 526

Plots

Fruchterman–Reingold graph drawing

Degree distribution

Cumulative degree distribution

Lorenz curve

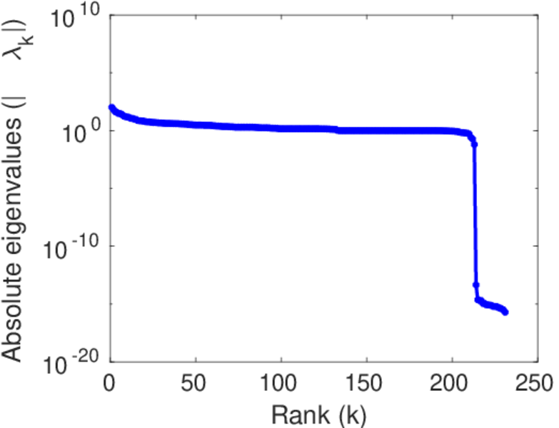
Spectral distribution of the adjacency matrix

Spectral distribution of the normalized adjacency matrix

Spectral distribution of the Laplacian

Spectral graph drawing based on the adjacency matrix

Spectral graph drawing based on the Laplacian

Spectral graph drawing based on the normalized adjacency matrix

Degree assortativity

Zipf plot

Hop distribution

Double Laplacian graph drawing

Delaunay graph drawing

Edge weight/multiplicity distribution

Temporal distribution

Temporal hop distribution

Diameter/density evolution

Matrix decompositions plots

Downloads

References

[1] Jérôme Kunegis. KONECT – The Koblenz Network Collection. In Proc. Int. Conf. on World Wide Web Companion, pages 1343–1350, 2013. [ http ]
[2] Wikimedia Foundation. Wikimedia downloads. http://dumps.wikimedia.org/, January 2010.