Wikibooks edits (ml)

This is the bipartite edit network of the Malayalam Wikibooks. It contains users and pages from the Malayalam Wikibooks, connected by edit events. Each edge represents an edit. The dataset includes the timestamp of each edit.

Metadata

Codebml
Internal nameedit-mlwikibooks
NameWikibooks edits (ml)
Data sourcehttp://dumps.wikimedia.org/
AvailabilityDataset is available for download
Consistency checkDataset passed all tests
Category
Authorship network
Dataset timestamp 2017-10-20
Node meaningUser, article
Edge meaningEdit
Network formatBipartite, undirected
Edge typeUnweighted, multiple edges
Temporal data Edges are annotated with timestamps

Statistics

Size n =3,955
Left size n1 =783
Right size n2 =3,172
Volume m =11,388
Unique edge count m̿ =6,289
Wedge count s =954,351
Claw count z =245,611,330
Cross count x =60,829,298,332
Square count q =64,532
4-Tour count T4 =4,351,694
Maximum degree dmax =1,454
Maximum left degree d1max =1,454
Maximum right degree d2max =239
Average degree d =5.758 79
Average left degree d1 =14.544 1
Average right degree d2 =3.590 16
Fill p =0.002 532 13
Average edge multiplicity m̃ =1.810 78
Size of LCC N =3,744
Diameter δ =12
50-Percentile effective diameter δ0.5 =3.519 82
90-Percentile effective diameter δ0.9 =5.233 99
Median distance δM =4
Mean distance δm =4.030 97
Gini coefficient G =0.756 760
Balanced inequality ratio P =0.196 567
Left balanced inequality ratio P1 =0.141 201
Right balanced inequality ratio P2 =0.258 781
Relative edge distribution entropy Her =0.807 893
Power law exponent γ =3.302 66
Tail power law exponent γt =2.051 00
Tail power law exponent with p γ3 =2.051 00
p-value p =0.409 000
Left tail power law exponent with p γ3,1 =1.891 00
Left p-value p1 =0.666 000
Right tail power law exponent with p γ3,2 =2.761 00
Right p-value p2 =0.000 00
Degree assortativity ρ =−0.276 632
Degree assortativity p-value pρ =7.469 97 × 10−111
Spectral norm α =117.223
Algebraic connectivity a =0.031 642 3
Spectral separation 1[A] / λ2[A]| =1.076 65
Controllability C =3,154
Relative controllability Cr =0.801 932

Plots

Fruchterman–Reingold graph drawing

Degree distribution

Cumulative degree distribution

Lorenz curve

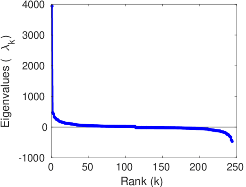
Spectral distribution of the adjacency matrix

Spectral distribution of the normalized adjacency matrix

Spectral distribution of the Laplacian

Spectral graph drawing based on the adjacency matrix

Spectral graph drawing based on the Laplacian

Spectral graph drawing based on the normalized adjacency matrix

Degree assortativity

Zipf plot

Hop distribution

Double Laplacian graph drawing

Delaunay graph drawing

Edge weight/multiplicity distribution

Temporal distribution

Temporal hop distribution

Diameter/density evolution

Matrix decompositions plots

Downloads

References

[1] Jérôme Kunegis. KONECT – The Koblenz Network Collection. In Proc. Int. Conf. on World Wide Web Companion, pages 1343–1350, 2013. [ http ]
[2] Wikimedia Foundation. Wikimedia downloads. http://dumps.wikimedia.org/, January 2010.