Wikibooks edits (mr)

This is the bipartite edit network of the Marathi Wikibooks. It contains users and pages from the Marathi Wikibooks, connected by edit events. Each edge represents an edit. The dataset includes the timestamp of each edit.

Metadata

Codebmr
Internal nameedit-mrwikibooks
NameWikibooks edits (mr)
Data sourcehttp://dumps.wikimedia.org/
AvailabilityDataset is available for download
Consistency checkDataset passed all tests
Category
Authorship network
Dataset timestamp 2017-10-20
Node meaningUser, article
Edge meaningEdit
Network formatBipartite, undirected
Edge typeUnweighted, multiple edges
Temporal data Edges are annotated with timestamps

Statistics

Size n =1,199
Left size n1 =190
Right size n2 =1,009
Volume m =2,457
Unique edge count m̿ =1,528
Wedge count s =117,558
Claw count z =11,411,586
Cross count x =980,254,545
Square count q =12,080
4-Tour count T4 =571,636
Maximum degree dmax =791
Maximum left degree d1max =791
Maximum right degree d2max =132
Average degree d =4.098 42
Average left degree d1 =12.931 6
Average right degree d2 =2.435 08
Fill p =0.007 970 37
Average edge multiplicity m̃ =1.607 98
Size of LCC N =959
Diameter δ =12
50-Percentile effective diameter δ0.5 =3.400 01
90-Percentile effective diameter δ0.9 =5.470 40
Median distance δM =4
Mean distance δm =3.847 25
Gini coefficient G =0.690 252
Balanced inequality ratio P =0.236 874
Left balanced inequality ratio P1 =0.137 159
Right balanced inequality ratio P2 =0.327 228
Relative edge distribution entropy Her =0.809 702
Power law exponent γ =3.534 64
Tail power law exponent γt =3.031 00
Tail power law exponent with p γ3 =3.031 00
p-value p =0.001 000 00
Left tail power law exponent with p γ3,1 =1.861 00
Left p-value p1 =0.423 000
Right tail power law exponent with p γ3,2 =3.911 00
Right p-value p2 =0.013 000 0
Degree assortativity ρ =−0.170 969
Degree assortativity p-value pρ =1.729 22 × 10−11
Spectral norm α =97.018 7
Algebraic connectivity a =0.050 959 2
Spectral separation 1[A] / λ2[A]| =1.107 57
Controllability C =810
Relative controllability Cr =0.694 683

Plots

Fruchterman–Reingold graph drawing

Degree distribution

Cumulative degree distribution

Lorenz curve

Spectral distribution of the adjacency matrix

Spectral distribution of the normalized adjacency matrix

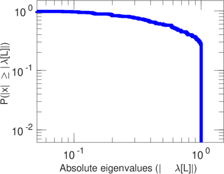
Spectral distribution of the Laplacian

Spectral graph drawing based on the adjacency matrix

Spectral graph drawing based on the Laplacian

Spectral graph drawing based on the normalized adjacency matrix

Degree assortativity

Zipf plot

Hop distribution

Double Laplacian graph drawing

Delaunay graph drawing

Edge weight/multiplicity distribution

Temporal distribution

Temporal hop distribution

Diameter/density evolution

Matrix decompositions plots

Downloads

References

[1] Jérôme Kunegis. KONECT – The Koblenz Network Collection. In Proc. Int. Conf. on World Wide Web Companion, pages 1343–1350, 2013. [ http ]
[2] Wikimedia Foundation. Wikimedia downloads. http://dumps.wikimedia.org/, January 2010.