Wikiquote edits (mr)

This is the bipartite edit network of the Marathi Wikisource. It contains users and pages from the Marathi Wikisource, connected by edit events. Each edge represents an edit. The dataset includes the timestamp of each edit.

Metadata

Codeqmr
Internal nameedit-mrwikisource
NameWikiquote edits (mr)
Data sourcehttp://dumps.wikimedia.org/
AvailabilityDataset is available for download
Consistency checkDataset passed all tests
Category
Authorship network
Dataset timestamp 2017-10-20
Node meaningUser, article
Edge meaningEdit
Network formatBipartite, undirected
Edge typeUnweighted, multiple edges
Temporal data Edges are annotated with timestamps

Statistics

Size n =7,274
Left size n1 =687
Right size n2 =6,587
Volume m =14,859
Unique edge count m̿ =8,817
Wedge count s =2,719,308
Claw count z =995,352,177
Cross count x =318,092,812,541
Square count q =36,313
4-Tour count T4 =11,188,054
Maximum degree dmax =1,835
Maximum left degree d1max =1,835
Maximum right degree d2max =246
Average degree d =4.085 51
Average left degree d1 =21.628 8
Average right degree d2 =2.255 81
Fill p =0.001 948 39
Average edge multiplicity m̃ =1.685 27
Size of LCC N =6,383
Diameter δ =12
50-Percentile effective diameter δ0.5 =5.157 26
90-Percentile effective diameter δ0.9 =6.171 84
Median distance δM =6
Mean distance δm =5.151 45
Gini coefficient G =0.743 524
Balanced inequality ratio P =0.191 736
Left balanced inequality ratio P1 =0.117 168
Right balanced inequality ratio P2 =0.303 924
Relative edge distribution entropy Her =0.764 627
Power law exponent γ =6.627 97
Tail power law exponent γt =2.931 00
Tail power law exponent with p γ3 =2.931 00
p-value p =0.000 00
Left tail power law exponent with p γ3,1 =1.721 00
Left p-value p1 =0.590 000
Right tail power law exponent with p γ3,2 =2.591 00
Right p-value p2 =0.210 000
Degree assortativity ρ =−0.311 847
Degree assortativity p-value pρ =3.999 00 × 10−198
Spectral norm α =206.197
Algebraic connectivity a =0.000 801 333
Spectral separation 1[A] / λ2[A]| =1.398 47
Controllability C =6,570
Relative controllability Cr =0.908 337

Plots

Fruchterman–Reingold graph drawing

Degree distribution

Cumulative degree distribution

Lorenz curve

Spectral distribution of the adjacency matrix

Spectral distribution of the normalized adjacency matrix

Spectral distribution of the Laplacian

Spectral graph drawing based on the adjacency matrix

Spectral graph drawing based on the Laplacian

Spectral graph drawing based on the normalized adjacency matrix

Degree assortativity

Zipf plot

Hop distribution

Double Laplacian graph drawing

Delaunay graph drawing

Edge weight/multiplicity distribution

Temporal distribution

Temporal hop distribution

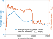
Diameter/density evolution

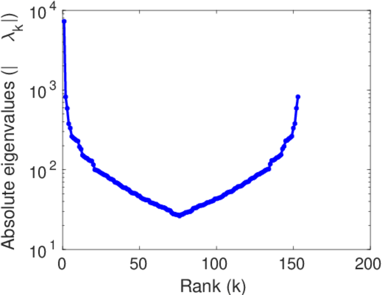
Matrix decompositions plots

Downloads

References

[1] Jérôme Kunegis. KONECT – The Koblenz Network Collection. In Proc. Int. Conf. on World Wide Web Companion, pages 1343–1350, 2013. [ http ]
[2] Wikimedia Foundation. Wikimedia downloads. http://dumps.wikimedia.org/, January 2010.