Wikibooks edits (ms)

This is the bipartite edit network of the Malay Wikibooks. It contains users and pages from the Malay Wikibooks, connected by edit events. Each edge represents an edit. The dataset includes the timestamp of each edit.

Metadata

Codebms
Internal nameedit-mswikibooks
NameWikibooks edits (ms)
Data sourcehttp://dumps.wikimedia.org/
AvailabilityDataset is available for download
Consistency checkDataset passed all tests
Category
Authorship network
Dataset timestamp 2017-10-20
Node meaningUser, article
Edge meaningEdit
Network formatBipartite, undirected
Edge typeUnweighted, multiple edges
Temporal data Edges are annotated with timestamps

Statistics

Size n =2,102
Left size n1 =223
Right size n2 =1,879
Volume m =5,593
Unique edge count m̿ =2,879
Wedge count s =566,847
Claw count z =151,699,990
Cross count x =34,482,133,099
Square count q =37,610
4-Tour count T4 =2,574,142
Maximum degree dmax =1,744
Maximum left degree d1max =1,744
Maximum right degree d2max =210
Average degree d =5.321 60
Average left degree d1 =25.080 7
Average right degree d2 =2.976 58
Fill p =0.006 870 84
Average edge multiplicity m̃ =1.942 69
Size of LCC N =1,890
Diameter δ =11
50-Percentile effective diameter δ0.5 =3.212 36
90-Percentile effective diameter δ0.9 =5.132 96
Median distance δM =4
Mean distance δm =3.538 50
Gini coefficient G =0.729 691
Balanced inequality ratio P =0.217 325
Left balanced inequality ratio P1 =0.114 429
Right balanced inequality ratio P2 =0.302 879
Relative edge distribution entropy Her =0.779 297
Power law exponent γ =3.604 70
Tail power law exponent γt =2.951 00
Tail power law exponent with p γ3 =2.951 00
p-value p =0.000 00
Left tail power law exponent with p γ3,1 =1.731 00
Left p-value p1 =0.467 000
Right tail power law exponent with p γ3,2 =5.651 00
Right p-value p2 =0.000 00
Degree assortativity ρ =−0.130 732
Degree assortativity p-value pρ =1.897 73 × 10−12
Spectral norm α =120.737
Algebraic connectivity a =0.023 444 2
Spectral separation 1[A] / λ2[A]| =1.199 22
Controllability C =1,649
Relative controllability Cr =0.794 699

Plots

Fruchterman–Reingold graph drawing

Degree distribution

Cumulative degree distribution

Lorenz curve

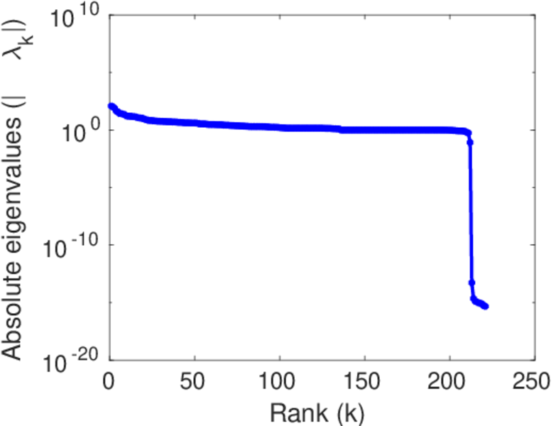
Spectral distribution of the adjacency matrix

Spectral distribution of the normalized adjacency matrix

Spectral distribution of the Laplacian

Spectral graph drawing based on the adjacency matrix

Spectral graph drawing based on the Laplacian

Spectral graph drawing based on the normalized adjacency matrix

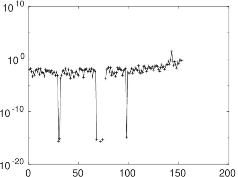
Degree assortativity

Zipf plot

Hop distribution

Double Laplacian graph drawing

Delaunay graph drawing

Edge weight/multiplicity distribution

Temporal distribution

Temporal hop distribution

Diameter/density evolution

Matrix decompositions plots

Downloads

References

[1] Jérôme Kunegis. KONECT – The Koblenz Network Collection. In Proc. Int. Conf. on World Wide Web Companion, pages 1343–1350, 2013. [ http ]
[2] Wikimedia Foundation. Wikimedia downloads. http://dumps.wikimedia.org/, January 2010.