Wikipedia edits (nso)

This is the bipartite edit network of the Northern Sotho Wikipedia. It contains users and pages from the Northern Sotho Wikipedia, connected by edit events. Each edge represents an edit. The dataset includes the timestamp of each edit.

Metadata

Codenso
Internal nameedit-nsowiki
NameWikipedia edits (nso)
Data sourcehttp://dumps.wikimedia.org/
AvailabilityDataset is available for download
Consistency checkDataset passed all tests
Category
Authorship network
Dataset timestamp 2017-10-20
Node meaningUser, article
Edge meaningEdit
Network formatBipartite, undirected
Edge typeUnweighted, multiple edges
Temporal data Edges are annotated with timestamps

Statistics

Size n =9,785
Left size n1 =353
Right size n2 =9,432
Volume m =32,788
Unique edge count m̿ =17,558
Wedge count s =22,032,043
Claw count z =30,810,449,653
Cross count x =36,105,351,527,815
Square count q =4,647,211
4-Tour count T4 =125,381,444
Maximum degree dmax =9,360
Maximum left degree d1max =9,360
Maximum right degree d2max =96
Average degree d =6.701 69
Average left degree d1 =92.883 9
Average right degree d2 =3.476 25
Fill p =0.005 273 47
Average edge multiplicity m̃ =1.867 41
Size of LCC N =9,148
Diameter δ =13
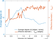
50-Percentile effective diameter δ0.5 =3.089 32
90-Percentile effective diameter δ0.9 =3.861 55
Median distance δM =4
Mean distance δm =3.164 64
Gini coefficient G =0.742 478
Balanced inequality ratio P =0.201 278
Left balanced inequality ratio P1 =0.064 840 8
Right balanced inequality ratio P2 =0.319 965
Relative edge distribution entropy Her =0.703 266
Power law exponent γ =3.613 30
Tail power law exponent γt =2.281 00
Tail power law exponent with p γ3 =2.281 00
p-value p =0.000 00
Left tail power law exponent with p γ3,1 =1.491 00
Left p-value p1 =0.110 000
Right tail power law exponent with p γ3,2 =2.331 00
Right p-value p2 =0.000 00
Degree assortativity ρ =−0.530 394
Degree assortativity p-value pρ =0.000 00
Spectral norm α =229.116
Algebraic connectivity a =0.035 750 7
Spectral separation 1[A] / λ2[A]| =1.204 95
Controllability C =8,748
Relative controllability Cr =0.930 242

Plots

Fruchterman–Reingold graph drawing

Degree distribution

Cumulative degree distribution

Lorenz curve

Spectral distribution of the adjacency matrix

Spectral distribution of the normalized adjacency matrix

Spectral distribution of the Laplacian

Spectral graph drawing based on the adjacency matrix

Spectral graph drawing based on the Laplacian

Spectral graph drawing based on the normalized adjacency matrix

Degree assortativity

Zipf plot

Hop distribution

Double Laplacian graph drawing

Delaunay graph drawing

Edge weight/multiplicity distribution

Temporal distribution

Temporal hop distribution

Diameter/density evolution

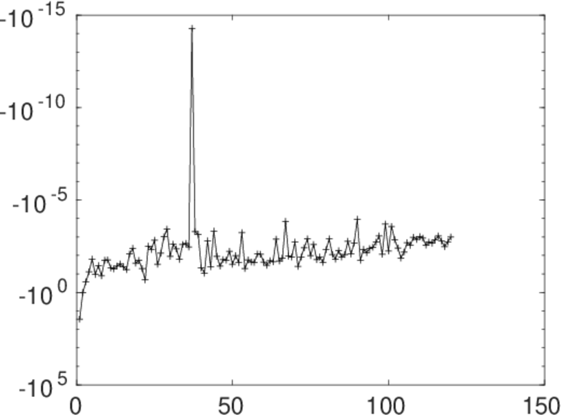
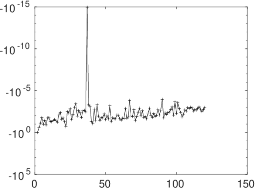
Matrix decompositions plots

Downloads

References

[1] Jérôme Kunegis. KONECT – The Koblenz Network Collection. In Proc. Int. Conf. on World Wide Web Companion, pages 1343–1350, 2013. [ http ]
[2] Wikimedia Foundation. Wikimedia downloads. http://dumps.wikimedia.org/, January 2010.