Wikipedia edits (pnt)

This is the bipartite edit network of the Pontic Wikipedia. It contains users and pages from the Pontic Wikipedia, connected by edit events. Each edge represents an edit. The dataset includes the timestamp of each edit.

Metadata

Codepnt
Internal nameedit-pntwiki
NameWikipedia edits (pnt)
Data sourcehttp://dumps.wikimedia.org/
AvailabilityDataset is available for download
Consistency checkDataset passed all tests
Category
Authorship network
Dataset timestamp 2017-10-20
Node meaningUser, article
Edge meaningEdit
Network formatBipartite, undirected
Edge typeUnweighted, multiple edges
Temporal data Edges are annotated with timestamps

Statistics

Size n =2,478
Left size n1 =575
Right size n2 =1,903
Volume m =30,942
Unique edge count m̿ =12,752
Wedge count s =1,484,352
Claw count z =144,386,197
Cross count x =13,228,829,465
Square count q =6,352,484
4-Tour count T4 =56,804,168
Maximum degree dmax =2,844
Maximum left degree d1max =2,844
Maximum right degree d2max =468
Average degree d =24.973 4
Average left degree d1 =53.812 2
Average right degree d2 =16.259 6
Fill p =0.011 653 9
Average edge multiplicity m̃ =2.426 44
Size of LCC N =1,894
Diameter δ =12
50-Percentile effective diameter δ0.5 =3.452 40
90-Percentile effective diameter δ0.9 =5.751 30
Median distance δM =4
Mean distance δm =4.085 52
Gini coefficient G =0.827 772
Balanced inequality ratio P =0.166 279
Left balanced inequality ratio P1 =0.094 661 0
Right balanced inequality ratio P2 =0.199 147
Relative edge distribution entropy Her =0.815 016
Power law exponent γ =1.948 99
Tail power law exponent γt =2.501 00
Tail power law exponent with p γ3 =2.501 00
p-value p =0.000 00
Left tail power law exponent with p γ3,1 =1.621 00
Left p-value p1 =0.000 00
Right tail power law exponent with p γ3,2 =4.531 00
Right p-value p2 =0.001 000 00
Degree assortativity ρ =+0.045 047 7
Degree assortativity p-value pρ =3.597 86 × 10−7
Spectral norm α =294.482
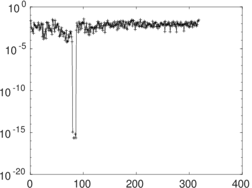
Algebraic connectivity a =0.047 429 5
Spectral separation 1[A] / λ2[A]| =1.312 00
Controllability C =1,319
Relative controllability Cr =0.559 135

Plots

Fruchterman–Reingold graph drawing

Degree distribution

Cumulative degree distribution

Lorenz curve

Spectral distribution of the adjacency matrix

Spectral distribution of the normalized adjacency matrix

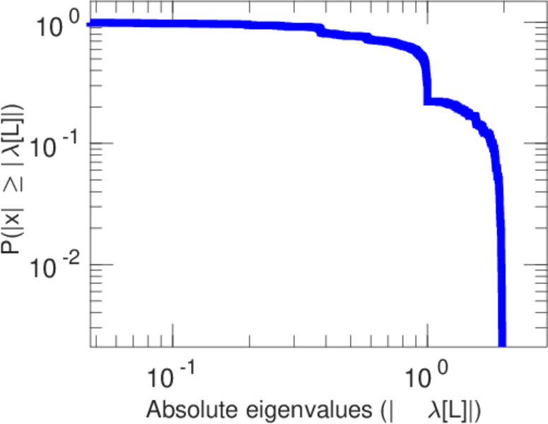
Spectral distribution of the Laplacian

Spectral graph drawing based on the adjacency matrix

Spectral graph drawing based on the Laplacian

Spectral graph drawing based on the normalized adjacency matrix

Degree assortativity

Zipf plot

Hop distribution

Double Laplacian graph drawing

Delaunay graph drawing

Edge weight/multiplicity distribution

Temporal distribution

Temporal hop distribution

Diameter/density evolution

Matrix decompositions plots

Downloads

References

[1] Jérôme Kunegis. KONECT – The Koblenz Network Collection. In Proc. Int. Conf. on World Wide Web Companion, pages 1343–1350, 2013. [ http ]
[2] Wikimedia Foundation. Wikimedia downloads. http://dumps.wikimedia.org/, January 2010.