Wikiquote edits (sl)

This is the bipartite edit network of the Slovenian Wikiquote. It contains users and pages from the Slovenian Wikiquote, connected by edit events. Each edge represents an edit. The dataset includes the timestamp of each edit.

Metadata

Codeqsl
Internal nameedit-slwikiquote
NameWikiquote edits (sl)
Data sourcehttp://dumps.wikimedia.org/
AvailabilityDataset is available for download
Consistency checkDataset passed all tests
Category
Authorship network
Dataset timestamp 2017-10-20
Node meaningUser, article
Edge meaningEdit
Network formatBipartite, undirected
Edge typeUnweighted, multiple edges
Temporal data Edges are annotated with timestamps

Statistics

Size n =5,297
Left size n1 =344
Right size n2 =4,953
Volume m =27,934
Unique edge count m̿ =15,972
Wedge count s =8,218,751
Claw count z =4,205,384,268
Cross count x =1,834,879,909,450
Square count q =6,120,691
4-Tour count T4 =81,890,576
Maximum degree dmax =3,901
Maximum left degree d1max =3,901
Maximum right degree d2max =199
Average degree d =10.547 1
Average left degree d1 =81.203 5
Average right degree d2 =5.639 81
Fill p =0.009 374 16
Average edge multiplicity m̃ =1.748 94
Size of LCC N =5,058
Diameter δ =11
50-Percentile effective diameter δ0.5 =3.190 78
90-Percentile effective diameter δ0.9 =3.901 28
Median distance δM =4
Mean distance δm =3.321 51
Gini coefficient G =0.779 147
Balanced inequality ratio P =0.191 577
Left balanced inequality ratio P1 =0.074 174 8
Right balanced inequality ratio P2 =0.274 003
Relative edge distribution entropy Her =0.750 869
Power law exponent γ =2.205 95
Tail power law exponent γt =2.041 00
Tail power law exponent with p γ3 =2.041 00
p-value p =0.000 00
Left tail power law exponent with p γ3,1 =1.581 00
Left p-value p1 =0.047 000 0
Right tail power law exponent with p γ3,2 =8.791 00
Right p-value p2 =0.752 000
Degree assortativity ρ =−0.292 606
Degree assortativity p-value pρ =8.659 35 × 10−313
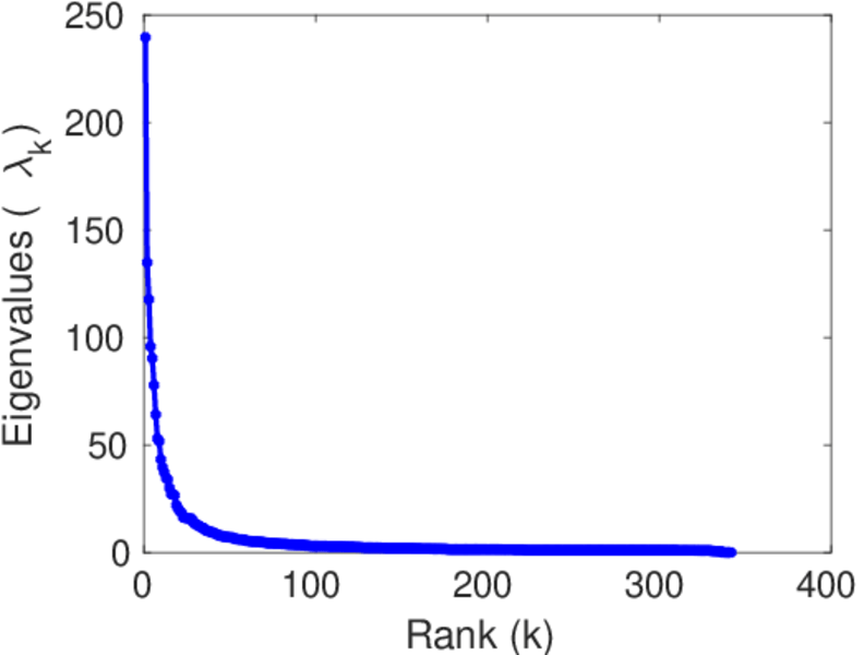
Spectral norm α =239.508
Algebraic connectivity a =0.021 095 8
Spectral separation 1[A] / λ2[A]| =1.776 49
Controllability C =4,611
Relative controllability Cr =0.872 469

Plots

Fruchterman–Reingold graph drawing

Degree distribution

Cumulative degree distribution

Lorenz curve

Spectral distribution of the adjacency matrix

Spectral distribution of the normalized adjacency matrix

Spectral distribution of the Laplacian

Spectral graph drawing based on the adjacency matrix

Spectral graph drawing based on the Laplacian

Spectral graph drawing based on the normalized adjacency matrix

Degree assortativity

Zipf plot

Hop distribution

Double Laplacian graph drawing

Delaunay graph drawing

Edge weight/multiplicity distribution

Temporal distribution

Temporal hop distribution

Diameter/density evolution

Matrix decompositions plots

Downloads

References

[1] Jérôme Kunegis. KONECT – The Koblenz Network Collection. In Proc. Int. Conf. on World Wide Web Companion, pages 1343–1350, 2013. [ http ]
[2] Wikimedia Foundation. Wikimedia downloads. http://dumps.wikimedia.org/, January 2010.